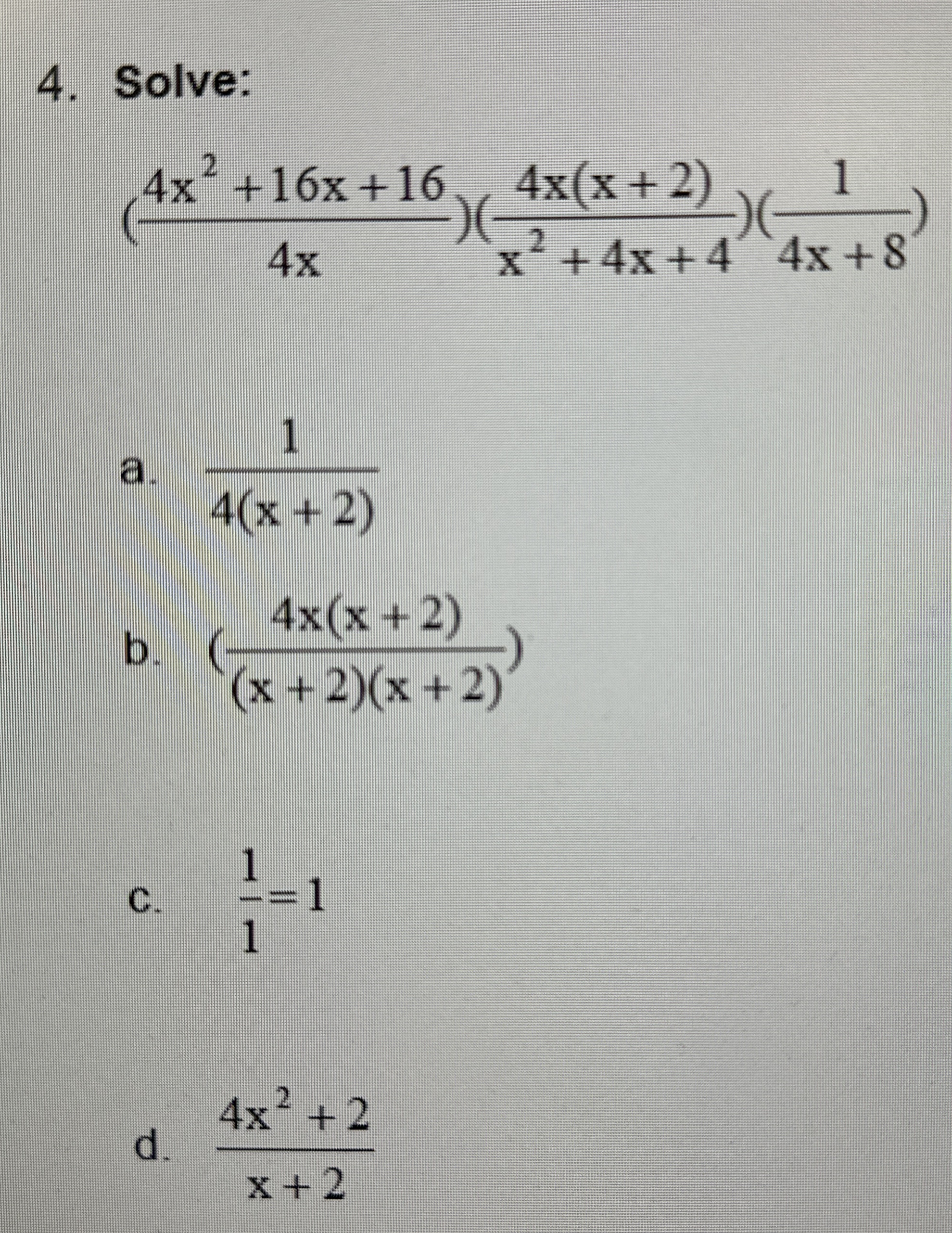
Question: Solve: ( 4 x 2 + 1 6 x + 1 6 4 x ) ( 4 x ( x + 2 ) x 2
Solve:
Step by Step Solution
There are 3 Steps involved in it
1 Expert Approved Answer
Step: 1 Unlock
Question Has Been Solved by an Expert!
Get step-by-step solutions from verified subject matter experts
Step: 2 Unlock
Step: 3 Unlock
