Question: Solve a nontrivial constrained optimization problem from Raos text using MATLAB, compare your results with the one provided in the text, extend your studies (if
Solve a nontrivial constrained optimization problem from Raos text using MATLAB, compare your results with the one provided in the text, extend your studies (if possible) by changing some parameters or adding new ideas, and please show all the results. Wherever necessary, please feel free to choose any appropriate values for the known (but not given) parameters. Also, I would encourage you to use Matlabs Optimtool which is a GUI for solving optimization problems.




Please include problem formulation, solution methodology, and the accurracy of opimization or how to improve.
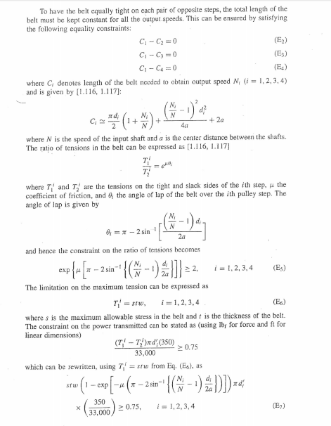
The step-cone pulley shown in Fig. 1.10 is to be designed for trans- Erample 1.3 mitting a power of at least 0.75 hp. The speed of the input shaft is 350rpm and the output speed requirements are 750, 450, 250, and 150rpm for a fixed center distance of a between the input and output shafts. The tension on the tight side of the belt is to be kept more than twice that on the slack side. The thickness of the belt is t and the coefficient of friction between the belt and the pulleys is . The stress induced in the belt due to tension on the tight side is s. Formulate the problem of finding the width and diameters of the steps for minimum weight The step-cone pulley shown in Fig. 1.10 is to be designed for trans- Erample 1.3 mitting a power of at least 0.75 hp. The speed of the input shaft is 350rpm and the output speed requirements are 750, 450, 250, and 150rpm for a fixed center distance of a between the input and output shafts. The tension on the tight side of the belt is to be kept more than twice that on the slack side. The thickness of the belt is t and the coefficient of friction between the belt and the pulleys is . The stress induced in the belt due to tension on the tight side is s. Formulate the problem of finding the width and diameters of the steps for minimum weight
Step by Step Solution
There are 3 Steps involved in it
Get step-by-step solutions from verified subject matter experts
