Question: Solve all 5 problems on paper. Show all work I) show that the following functions define an inner product ou IR, where U = (





Solve all 5 problems on paper. Show all work





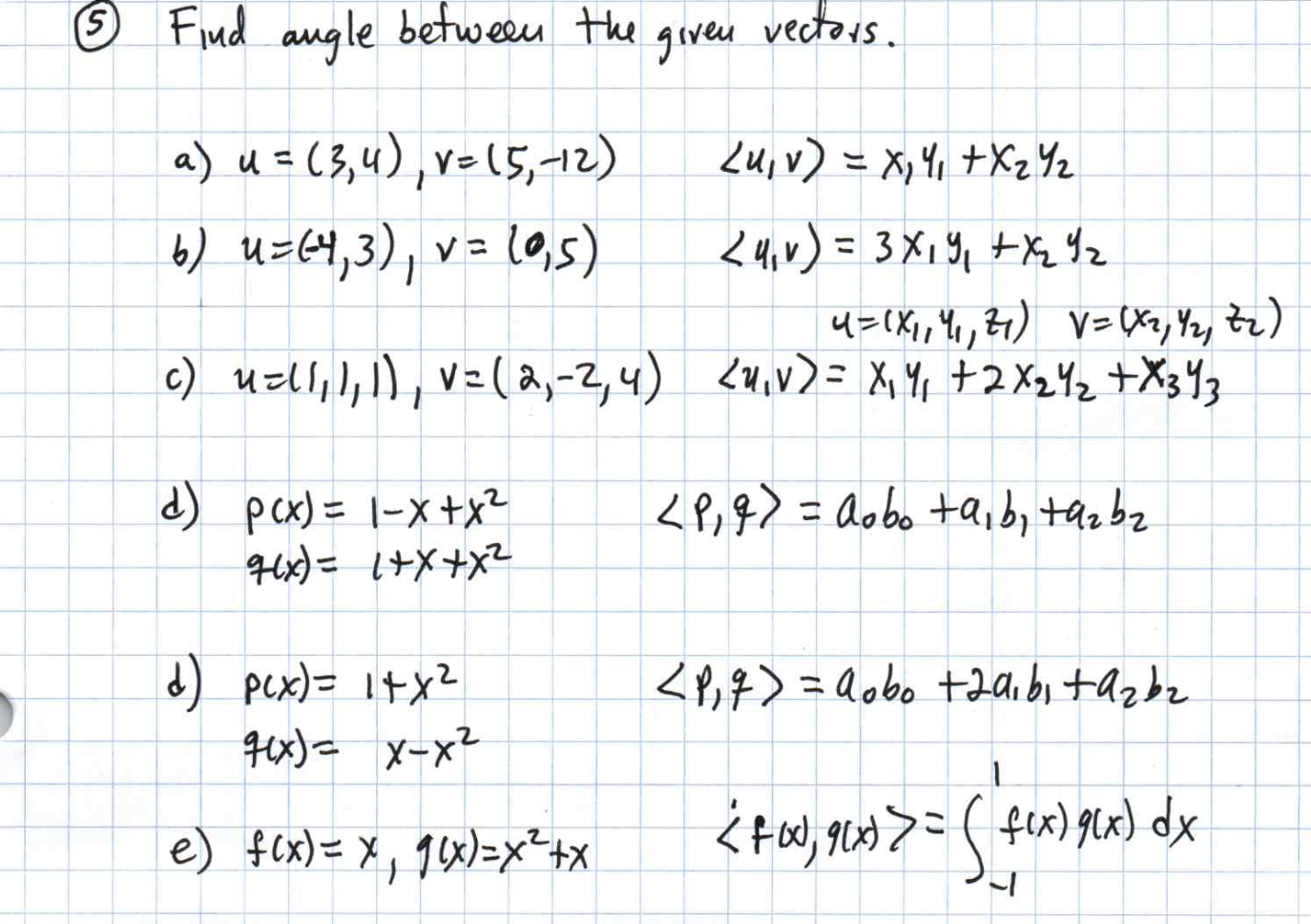
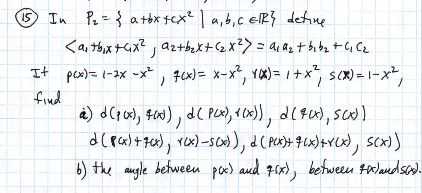
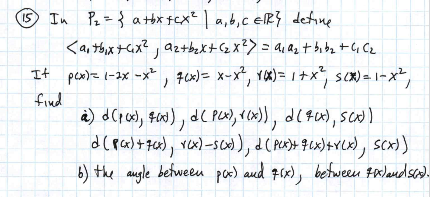
I) show that the following functions define an inner product ou IR, where U = ( x , , y , ) and V = ( x 2, yz ) a ) = 3 x , x 2 + y , 4 2 b) = XIXz + 4, yz 2 49 Let U, V be nonzero vectors In an inner product space V. Prove that U - proju is orthogonal to v.Find angle between the given vectors . a ) u = ( 3 , 4 ) , v = ( 5 , - 12 ) ZUIV) = X,4, + X242 6) 1=(4, 3), v = (0, 5 ) = dobo taib, +92bz 9 ( x ) = 1+ X+ x z d) p( x ) = 1 t x 2
= dobo +adibi tazbz H(x ) = X- x 2 e ) f( x ) = x, glx ) = x 2 +x = ( fix ) 9(x ) dx12) Let a = ( 1 , 2 , 3 ), B = ( - 1 , - 4 , 1 ) , M = ( 3 , 3 , 3 ) In 1R ? al If
Step by Step Solution
There are 3 Steps involved in it
Get step-by-step solutions from verified subject matter experts
