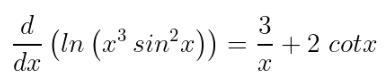
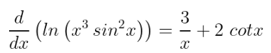
Question: Solve and show the solutions. d In (x sin'x 2 1 09 + 2 cota da100 d 3 sin 1 Co T COS = COS





Solve and show the solutions.





d In (x sin'x 2 1 09 + 2 cota da100 d 3 sin 1 Co T COS = COS + dad 1 + sinx In dac COST ) COST
Step by Step Solution
There are 3 Steps involved in it
Get step-by-step solutions from verified subject matter experts
