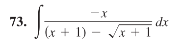
Question: Solve by substitution please. Thank you 73.

Solve by substitution please. Thank you



73.
Step by Step Solution
There are 3 Steps involved in it
Get step-by-step solutions from verified subject matter experts
