Question: Solve each number. Show solution. Show explanations if possible. fExercise 3.7 Simplify the following compound fractions. + 1. Aa 2b 2. 3a 3b T. 3.










Solve each number. Show solution. Show explanations if possible.










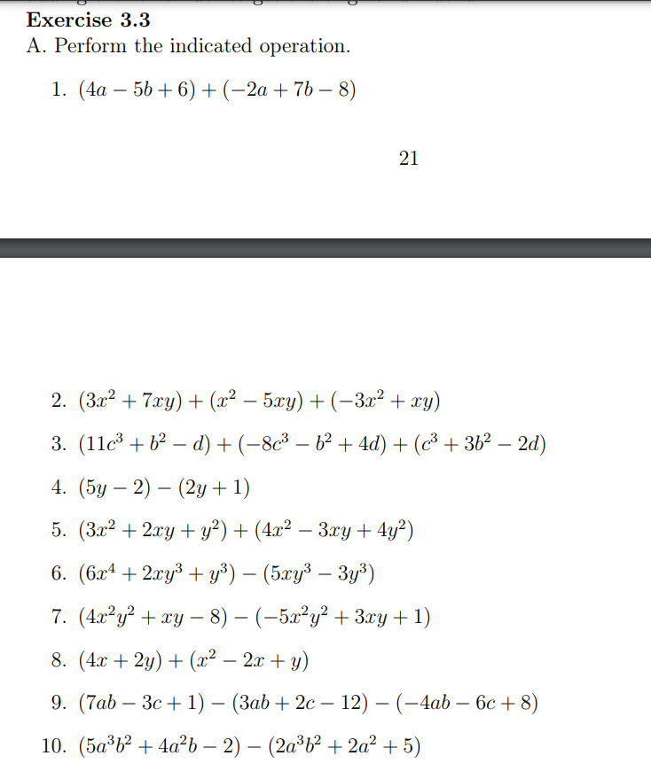
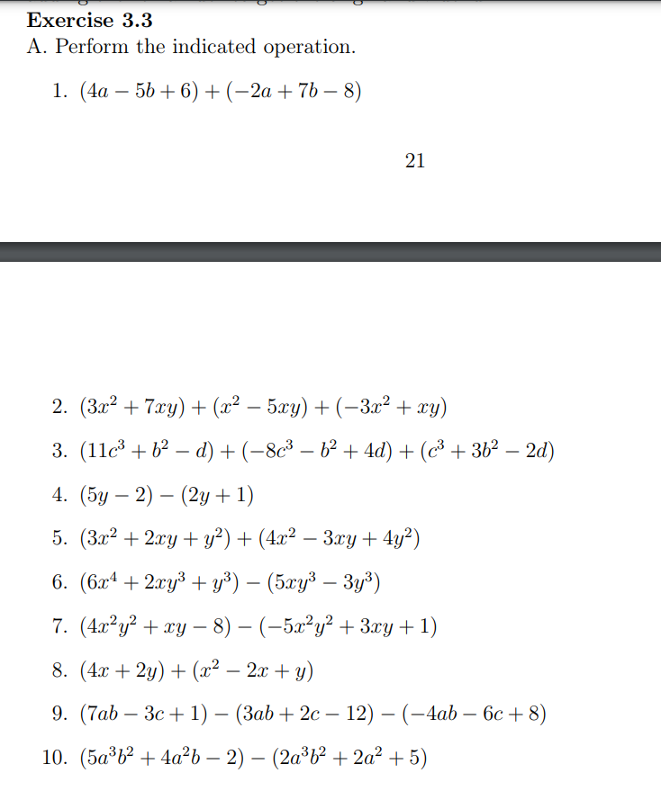
\fExercise 3.7 Simplify the following compound fractions. + 1. Aa 2b 2. 3a 3b T. 3. 2 + 1 - y 1 -y Ity 4. Ity 1 - y 5. 1 1 1+ -\fExercise 3.3 A. Perform the indicated operation. 1. (4a - 5b + 6) + (-2a + 76 -8) 21 2. (3x2 + 7xy) + (x2 - 5xy) + (-3x2 + xy) 3. (11c3 + 62 - d) + (-803 - b2 + 4d) + (3 + 362 - 2d) 4. (5y - 2) - (2y + 1) 5. (3x2 + 2xy + y?) + (4x2 - 3.xy + 4y2) 6. (6.x4 + 2.ry3 + y3) - (5xy3 - 3y3) 7. (4x? y? + xy - 8) - (-5x2y2 + 3xy + 1) 8. (4x + 2y) + (202 - 2. + y) 9. (7ab - 3c + 1) - (3ab + 2c - 12) - (-4ab - 6c + 8) 10. (5a362 + 4a2b - 2) - (2a362 + 2a2 + 5)\fExercise 3.4 Find product of each using the Special Products formulas. 1. 3a(3b 7c) 7. (311.2 2152)2 2. 7:13;?(312 5933);; + 21123;) 8. (23:3; 3) (21:3; + 3) 3. (7:1:+5y)(7:1: 5y) 9. (2.1+1)(3:1: 2) 4. (21331)2 10. (3:1: 23,1)3 5. (2:1: y)(3:1:y) 11. (2333)(43:2+6:1:+9) 6. (4113.32 ab)312. (311.! + 52:)(911-'2 151112 + 2522) 25 13. (2:1: 53,1)(4332 + 103:3; + 253,12) 17. (2a 1)2 14. (3112 + 41.1)2 18. (2:1: + 4)2 15. (6:1: 4y)(6r + 43;) 19. (_2:1: + 1)2 16. (:1: + 2)2 20. (l r2)(l + 51:2) Exercise 3.6. A. Reduce the following to lowest terms. 1- $6 2' 250.254 10(1453 3 93:2 1 ' 33:2 + 5x 2 6:123: (3er ' 3:132 3ey2 5 (3:2 16)(:r.2 43: + 16) ' r3 + 64 B. Perform the indicated operations and reduce answers to lowest terms. 2:1: + 3 4:1: T 6 9 3+1 r+3 x+2 :1: 1. C. Perform the indicated operations and reduce answers to lowest terms 1 9:??? Bob ' 24013.34 27agb3 ab + or b b 33 3 2:193:12 .4332+271r.7 '6m2213+18'2:327r+6 4 3a _ 3a+2 _a+2_ a ' {13 a26a+9 n+3 a2+6a+9 2 '2 2 2 L a +ab;a ab 5' (a M' [b2+ab ' 3.320.33]
Step by Step Solution
There are 3 Steps involved in it
Get step-by-step solutions from verified subject matter experts
