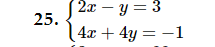
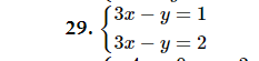
Question: solve each system by the addition method. If there is no solution or an infinite number of solutions, so state. Use set notation to express
solve each system by the addition method. If there is no solution or an infinite number of solutions, so state. Use set notation to express solution sets.







Step by Step Solution
There are 3 Steps involved in it
Get step-by-step solutions from verified subject matter experts
