Question: Solve equation below using Matlab program and draw a flowchart of algorithm Cauchys (steepest descent) Method Example: Miuimize f(x1,x2)=(x12+x211)2+(x1+x227)2 Choose M=100 Initial point x(0)=(0,0)r 1=0.001
Solve equation below using Matlab program and draw a flowchart of algorithm Cauchys (steepest descent) Method




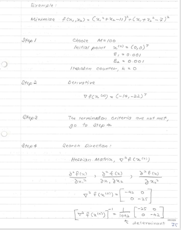
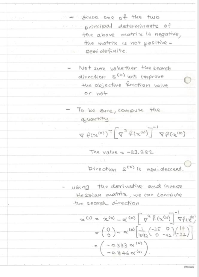
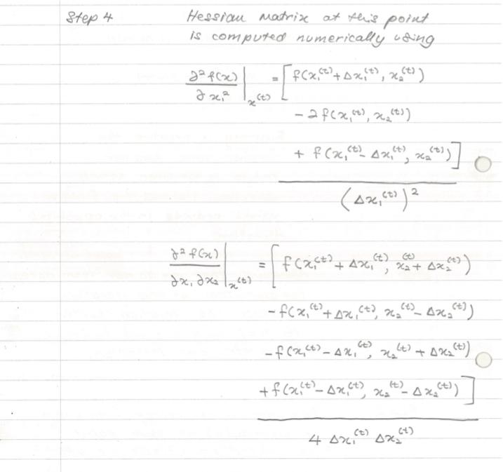
Example: Miuimize f(x1,x2)=(x12+x211)2+(x1+x227)2 Choose M=100 Initial point x(0)=(0,0)r 1=0.001 2=0.001 theradon counter, k=0 Derivative f(x(0))=(14,22) ep3 The termination criteria are not met, go to step 4 . Searan Direction: Hessian Matrix, 2f(x(0)) x122f(x),x1x22f(x),x222f(x)2f(x(0))=[420025][2f(x(0))]1=10921[250042] - since one of the two principal determinants of the above matrix is negative, the matrix is not positive semidefinite. - Not sure whether the search direction s(0) will improve the objective Runction value or not - To be sure, compute the quantity f(x(0))[2f(x(0))]1f(x(0)) The value =23.282 bivection s(0) is non-descent - using the derivative and inverse Hessian matrix, we can compute the search direction x(1)=x(0)(0)[2f(x(0))]1f(x(0))=(00)(0)[10921(250042)(1422)]=(0.333(0)0.846(0)) unidirectional search along this direction, we obtain stepsize(0)=3.349 Quantity is negative, the function value does not reduce in the given search direction. Instead, the function values reduces in the opposites directions. step 5 Assuming that we do not terminate the algowithm at this iteration, increase tae iteration counter to k=1 and proceed to step 2 . complefe one ixeradion. 8tep 2 The derivative vector Ccomputed numerically at ti point (2,1)T is f(x(1))=(3.757,6.485)7 step 3 The magnitude of the derivative vector is notsmall. Move to step 4 Hessian matrix at this point is computed numerically uoing x122f(x)x(t)=[f(x1(t)+x1(t),x2(t))2f(x1(t),x2(t))+f(x1(t)x1(t),x2(t))](x1(t))2x1x22f(x)x(t)=[f(x1(t)+x1(t),x2(t)+x2(t))f(x1(t)+x1(t),x2(t)x2(t))f(x1(t)x1(t),x2(t)+x2(t))+f(x1(t)x1(t),x2(t)x2(t))]4x1(t)x2(t)
Step by Step Solution
There are 3 Steps involved in it
Get step-by-step solutions from verified subject matter experts
