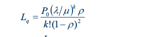
Question: Solve for L q = 24.3 = 30 = 0.135 n = 20 k = 6 L P.(114) k!(1-P)? L P.(114) k!(1-P)
Solve for Lq
= 24.3
= 30
= 0.135
n = 20
k = 6

Step by Step Solution
There are 3 Steps involved in it
1 Expert Approved Answer
Step: 1 Unlock
Question Has Been Solved by an Expert!
Get step-by-step solutions from verified subject matter experts
Step: 2 Unlock
Step: 3 Unlock
