Question: solve for x and show work 1. 2. (5x - 2) (9x - By (x + 10) (x + 2) (3.x + 4) 3. 4.
solve for x and show work




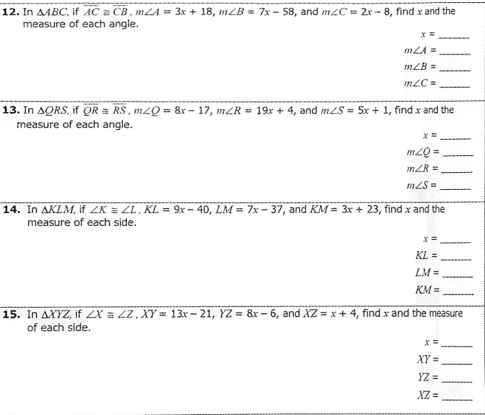
1. 2. (5x - 2) (9x - By (x + 10) (x + 2) (3.x + 4) 3. 4. (11x - 2)" (17x - 23) (19x + 3) (9x + 1) (7x + 2)" 5. Find the values of x and y in the diagram below. (6x - 2) A 30 72 (11x - 9) (5) - 8) 6. Find the values of x and y in the diagram below. 86 (4x - 7)" (7y - 1) (9x + 4)7. If / | | mi, find the values of x and y in the diagram below. 63 (7x - 31)' (5x - 8) (4V + 27)"7. (5x - 7) 8. (8x - 55) (4x + 8)" 9. 10. 60' 7x+ 19 11x - 89 60" 29 (11x -65)' 11. If AABC is an isosceles triangle and ADBE is an equilateral triangle, find each missing measure. M121 = M26 = 5 m22 = m27 = 123 = m28 = (4x + 3), mZ4= 149 = 21 3 4 6 (2X-47) C D E m25 =12. In AABC, if AC E CB, mZA = 3x + 18, mcB = 7x - 58, and mZC = 2x - 8, find x and the measure of each angle. MZ= MLB = mZC = 13. In AORS, if OR = RS. mZQ = 8x - 17, mZR = 19x + 4, and mZS = 5x + 1, find x and the measure of each angle. X= mZO = mZR = mZS = 14. In AKLM, if ZK = ZL. KL = 9x - 40, LM = 7x - 37, and KM = 3x + 23, find x and the measure of each side. KL = LM = KM = 15. In AXYZ, if ZX =
Step by Step Solution
There are 3 Steps involved in it
Get step-by-step solutions from verified subject matter experts
