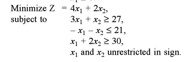
Question: Solve it by using Simplex Method or Big M method Minimize Z subject to = 4x + 2x2, 3x + x 27, -x - x

Solve it by using Simplex Method or Big M method
Minimize Z subject to = 4x + 2x2, 3x + x 27, -x - x = 21, x + 2x 30, x and x unrestricted in sign. X2 X1Step by Step Solution
There are 3 Steps involved in it
1 Expert Approved Answer
Step: 1 Unlock
Question Has Been Solved by an Expert!
Get step-by-step solutions from verified subject matter experts
Step: 2 Unlock
Step: 3 Unlock
