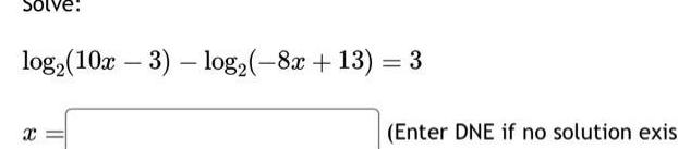
Question: Solve log 10x 3 log 8x 13 3 8 Enter DNE if no solution exis 4-13) 3 (Enter DNE if no solution exis


Solve log 10x 3 log 8x 13 3 8 Enter DNE if no solution exis
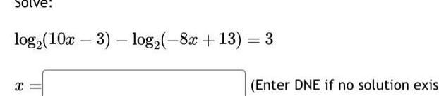
4-13) 3 (Enter DNE if no solution exis
Step by Step Solution
There are 3 Steps involved in it
Get step-by-step solutions from verified subject matter experts
