Question: SOLVE Questions 1-5: PLEASE AND THANK YOU 1: What is the difference between homogenous and non-homogenous differential equation? Write an example for each and solve

SOLVE Questions 1-5: PLEASE AND THANK YOU

1: What is the difference between homogenous and non-homogenous differential equation? Write an example for each and solve it. 2: What is the main formula to solve homogenous differential equation using section 4.3? Write an example for homogenous differential equation that can be solved using section 4.3 and solve it. 3: What is the main formula to solve homogenous differential equation using section 4.7? Write an example for homogenous differential equation that can be solved using section 4.7 and solve it. 4: What is the non-homogenous differential equation? Write an example for non-homogenous differential equation and solve it.

5: What is the name of the method that is used to solve a non-homogenous differential equation usingthe table in section 4.4? Write an example of a differential equation and explain how to use the table (solve it).

INSTRUCTIONS AND NOTES FOR QUESTIONS 1-5

~ Also the figures are listen below and long with the Refences, charts, and notes for 4.3, 4.4, 4.5 and 4.7. Please show all work step by step, do not skip any steps please and thank you I appreciate you so much.

+ Solve the given differential equation by undetermined coefficients-Superposition approach. + Solve the given Differential Equation by Undetermined Coefficient - Annihilator Approach. + Solve the given differential equation by using Variation of Parameters.

+ Solve the given differential equation + Solve the differential equation below using Green's function.

SOLVE Questions 1-5: PLEASE AND THANK YOU 1: WhatSOLVE Questions 1-5: PLEASE AND THANK YOU 1: WhatSOLVE Questions 1-5: PLEASE AND THANK YOU 1: WhatSOLVE Questions 1-5: PLEASE AND THANK YOU 1: WhatSOLVE Questions 1-5: PLEASE AND THANK YOU 1: WhatSOLVE Questions 1-5: PLEASE AND THANK YOU 1: WhatSOLVE Questions 1-5: PLEASE AND THANK YOU 1: WhatSOLVE Questions 1-5: PLEASE AND THANK YOU 1: WhatSOLVE Questions 1-5: PLEASE AND THANK YOU 1: WhatSOLVE Questions 1-5: PLEASE AND THANK YOU 1: WhatSOLVE Questions 1-5: PLEASE AND THANK YOU 1: WhatSOLVE Questions 1-5: PLEASE AND THANK YOU 1: WhatSOLVE Questions 1-5: PLEASE AND THANK YOU 1: WhatSOLVE Questions 1-5: PLEASE AND THANK YOU 1: WhatSOLVE Questions 1-5: PLEASE AND THANK YOU 1: WhatSOLVE Questions 1-5: PLEASE AND THANK YOU 1: WhatSOLVE Questions 1-5: PLEASE AND THANK YOU 1: WhatSOLVE Questions 1-5: PLEASE AND THANK YOU 1: WhatSOLVE Questions 1-5: PLEASE AND THANK YOU 1: WhatSOLVE Questions 1-5: PLEASE AND THANK YOU 1: WhatSOLVE Questions 1-5: PLEASE AND THANK YOU 1: WhatSOLVE Questions 1-5: PLEASE AND THANK YOU 1: WhatSOLVE Questions 1-5: PLEASE AND THANK YOU 1: WhatSOLVE Questions 1-5: PLEASE AND THANK YOU 1: What
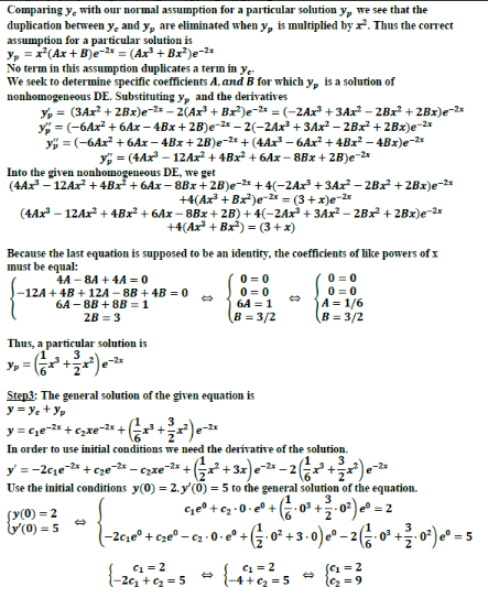
Section 4.4 Table g(x) Form of yp 1 any constant A 2 2x - 3 Ax + B 3 7x2 - 2x + 5 Ax- + Bx + C 4 6x3 - x+9 Ax3 + Bx- + Cx + E un 3sin4x Acos4x + Bsin4x 7cos2x Acos2x + Bsin2x 7 305x Ae5x 8 (8x - 5)e5x (Ax + B)e5x 3x2e5x Ax2 + Bx + Ce5x 10 6e-*' sin4x Ae *cos4x + Be?* sin4x 11 7x-sin4x (Ax' + Bx + C)cos4x + (Ex- + Fx + G)sin4x 12 8xe3*cos2x (Ax + B)e3* cos4x + (Cx + E)e3*sin4x Section 4.5 formula The differential operator D" annihilates each of the functions 1, x, x, ..., x-1 The differential operator (D - c)" annihilates each of the functions ellx, xealt, xleax, ..., x-lex The differential operator [D2 - 2aD + (a2 + 82 )]" annihilates each of the functions (main formula) ex cosBx, xe"*cosBx, x2e"* cosBx, ..., x-lexcosBx ex sinBx, xe * sinBx, x2ell* sinBx, ..., x-led* sinBxSection 4.3 Homogeneous Linear Equations with Constant Coefficient Introduction In this section we will consider homogeneous linear higher - order differential equation an y") + an-1 . y"-1) + ...+ aj . y' + doy = 0 where the coefficient a, i = 0, 1,2, ..., n are real constants and a,, # 0, and we will see that such DE can produce only exponential solutions. Auxiliary Equation We begin by considering the special case of the second - order equation ay" + by' + cy = 0 where a, b, and c are constants. We are looking for a solution of the form y = e". After substitution of y= ex, y' = me" and y" = me" in the equation above we obtain am-emx + bme"* + ce" = 0 e"(am' + bm + c) = 0 Because ell* # 0 for all x, it is apparent that the only way y = e"* can satisfy the DE is when m is chosen as a root of the quadratic equation am- + bm + c = 0 The last equation is called the auxiliary equation of the DE. Since the two roots are -b tvb' - 4ac m1.2 = 2a There will be three forms of the general solution of DE corresponding to the three cases: m, and my are real and distinct (b' - 4ac > 0), m, and my are real and equal (b- - 4ac = 0), m, and my are conjugate complex numbers (b' - 4ac 0 are real and i- = -1.Formally, the general solution is y = cielatif + cze(@-if)x However, in practice we prefer to work with real functions instead of complex exponentials. We use Euler's formula: els = coso + isino To find another set of linearly independent real solutions on (-co, co): V1 = excosBx and yz = exsinBx Consequently, the general solution is V = Cie*cosfx + CzechsinBx y= ex (cicosBx + czsingx) Example 1: Find the general solution of the given second - order differential equation. y" - 10y' + 25y = 0 Solution: The auxiliary equation is m3 - 10m + 25 = 0 (m - 5)= = 0 m - 5 =0 m1 = my = 5 repeated real roots case 2 So, the general solution will be y = Gest + Czxes Example 2:Find the general solution of the given second - order differential equation. y" + 4y - y=0 Solution: The auxiliary equation is m + 4m - 1 = 0 -414-4 -1 . (-1) -4+V20 -412v5 m12 = 2 - 1 2 2 m = -2 + v5 Distinct Real Roots case 1 So, the general solution will be y = cie(-2+v5)x + cze(-2-v5)x Example 3: Find the general solution of the given second - order differential equation. 2y" + 2y'ty=0 Solution: The auxiliary equation is 2m3 + 2m +1 =0 -2 12- - 4 -2 . (1) -2+v-4 -2121 -2 2i m1.2 I 2 - 2 4 1 m = 2 2 Conjugated Complex Roots case 3 m = at Bi So, the general solution will be y = e"(cicosBx + casingx)y = e-*/(cicos(x/2) + czsin(x/2)) Higher - Order Equation To solve an nth - order DE any "+ an-1 . y("-D) + ..+ aj . y'+ do . y=0 where the coefficient ap, i = 0, 1,2, .., n are real constants and a, = 0, and we must solve an nth- degree polynomial equation a, m"+ an_im"-1+ ...+ aqm- + am+ do =0 Case 1: Distinct Real roots. If we have distinct real n roots, then the the general solution of DE is y = (10my* + Cze"z* + ...+ Cnemax Case 2: Repeated Real Roots When one of the roots, say my is a root of multiplicity k of an uth - degree auxiliary equation (that is, k roots are equal to m1), then the portion of the general solution of DE is y = (1elix + caxem* + cax emix + ... + Coxk-lemix Case 3: Distinct Conjugate Complex Roots. Suppose we have two pairs of distinct conjugate roots: m1 = a1 tip1, my =a1 -if1, and my = a2 +i82, m4 = a2 -i82 Then the portion of the general solution of DE is y = e"i* (cicosBix+ czsinBix) + ez(C3cosBzx + casinB2x) Case 4: Repeated Conjugate Complex Roots. If mi = a + ip, P > 0 is complex root of multiplicity k of an auxiliary equation with real coefficients, then its conjugate my = a - if is also a root of multiplicity k. Then the portion of the general solution of DE must contain a linear combination of the 2k real linearly independent solutions y = e"*(CucosBx + Czisingx) + xe"*(c12cosBx + czzsinBx) +..+ xk-le"*(cixcosBx + CzisinBx) Example 4: Find the general solution of the given higher-order differential equation. y" + 3y" - 4y' - 12y =0 Solution: The auxiliary equation is m + 3m- -4m - 12 = 0 m-(m + 3) - 4(m + 3) = 0 (m + 3)(m' - 4) =0 m+3=0 or m- -4=0 m = -3 or m = -2, or m = 2 All roots are real distinct and the general solution is y=q1e-3* + Cze 2x + CaexExample 5: Find the general solution of the given higher order differential equation. y" - 6y" + 12y' - 8y = 0 Solution: The auxiliary equation is m3 - 6m- + 12m - 8 = 0 (m - 2)3 =0 = m-2=0 m = 2 real root with multiplicity k = 3 The general solution is y = cielx + caxex + caxzelx Example 6: Find the general solution of the given higher - order differential equation. d'x _ dix d3 x d2 x Solution: The auxiliary equation is 2m' - 7m+ + 12m3 + 8m= = 0 m3(2m3 - 7m- + 12m + 8) =0 m? =0 or 2m3 - 7m3+ 12m + 8 =0 All possible real roots are 15, 11, 12,14,18. 2 -7 12 -1 4 -8 2 -8 16 0 m = 0 with multiplicity k = 2 and (m+=) (2m2 - 8m + 16) =0 2 (m +7(m' - 4m + 8) =0 2 m+= =0 or m- -4m+8 =0 m= 2 or m = 212i We have 2 distinct real roots (m = 0 with multiplicity k = 2) and two conjugate roots. The general solution is X = ci + cas + c3e-s/= + e's(cacos2s + cssin2s) Example 7: Solve the given initial-value problem y" - 2y' +y =0, y(0) = 5, y'(0) = 10 The auxiliary equation is m= - 2m + 1 = 0 (m - 1)= =0 = m-1=0 m = 1 real root with multiplicity k = 2 The general solution isy = que* + Coxe* Using the initial conditions with y' = cje* + cze* + coxe* (y(0) = 5 Cie + c2 ' 0 . e0 = 5 C1 = 5 ly'(0) = 10 (cie + Cze' + c2 0 . e = 10 Ic + cz = 10 5 + cz = 10 C2 = 5 Back substitute in the general solution we obtain IVP solution y = 5e* + 5xe*Section 4.4 Undetermined Coefficients - Superposition Approach Homogeneous Linear Equations with Constant Coefficient To solve a nonhomogeneous linear DE any"tan y"-D + . ta, . y + day = g(x) we must do two things: 1. Find the complementary function y. (the solution of the homogeneous DE) 2. Find any particular solution yp of the nonhomogeneous DE. Then the general solution of the DE is y = y. + VP Method of Undetermined Coefficient The general method is limited to linear DEs where The coefficients aj, i = 0, 1,2,.. .n are constants and g(x) is a constant k, a polynomial function, an exponential function ed, a sine or cosine function sinfx or cosBx, or finite sums and products of these functions. The idea behind this method is a conjecture about the form of y, which is the particular solution of DE. Because the linear combination of derivatives a,y, + 0,-1y, + + djyp + doy, must be identical to g(x), it seems reasonable to assume that yo has the same form as g(x). There are two cases: Case 1: No function in the assumed particular solution y, is a solution of the associated homogeneous DE. g (x) Form of yp any constant A 2x - 3 Ax + B 7x - 2x + 5 Ax' + Bx + C 6x3-x+9 Ax + Bx + Cx + E LA 3sin4x Acos4x + Bsin4x 7cos2x Acos2x + Bsin2x Aesx (8x - 5)er (Ax + B)esx g 3x3 5x (Ax' + Bx + C)ex 10 60- sin4x Ae"'cos4x + Be" sin4x 11 7x3 sin4x (Ax' + Bx + C)cos4x + (Ex' + Fx + G)sin4x 12 Bxe 'cos 2x (Ax + Dje cos4x + (Cx + Fledsin4xIf g (x) consists of a sum of, say, In terms of the kind listed in the table, then the assumption for a particular solution yp consists of the sum of the trial forms yp . )p . ...)'em corresponding to these terms: Ye=ymtymtypm Case 2: A function in the assumed particular solution is also a solution of the associated homogeneous differential equation. Multiplication Rule for Case 2: If any yp, contains terms that duplicate terms in ye, then that yo, must be multiplied by x", where n is the smallest positive integer that eliminated that duplication. Example 1: Solve the given differential equation by undetermined coefficients. y" - By' + 20y = 100x7- 26xe' Solution: Stepl: We first solve the associated homogeneous equation y" - By' + 20y =0 From the auxiliary equation m2 - 8m + 20 = 0 we find the roots -(-8) 17(-8)3-4 -1 . (20) 8 +v64 -80 8+v-16 8+41 m12= 2. 1 2 2 2 m12 =4120 complex conjugate roots Hence the complementary function is Ye= et(cicos2x + casin2x) Step2: Now, we assume that a particular solution is in the form of g(x): Corresponding to 100x we assume y, = Ar + Bx+ C Corresponding to -26xe" we assume y, = (Ex+ Fje* The assumption for the particular solution is Yp = Vpi + yp = Ax + Bx + C+ (Ex + Fje* No term in this assumption duplicates a term in y We seek to determine specific coefficients A. B. C. E, and F for which y,, is a solution of nonhomogeneous DE. Substituting y, and the derivatives y, = 2Ax + B + Ee" + (Ex + F)e" = 2Ax + B + (Ex+ E+Fje y = 2A + Eel + (Ex + E + Fje* = 2A+ (Ex + 26 + Fle' Into the given nonhomogeneous DE, we get 2A + (Ex +28+ F)e" - 8(2Ax + B + (Ex + E+ F)e") + 20 (Ax3 + Bx + C+ (Ex + F))ex = = 100x- 26xe 24+ (Ex +2E + F)e' - 16Ax -80 - 8(Ex + E + Fje" + 20Ax + 208x + 20C + 20(Ex + Fle* = = 100x - 26xe' Because the last equation is supposed to be an identity, the coefficients of like powers of x must be equal:2A - 88 + 20C =0 2A - 8B + 20C = 0 -16A + 208 =0 -164 + 208 =0 20A = 100 A = 5 Ex+ 2E + F - 8(Ex + E + F) +20(Ex + F) = -26x 28 + F - 8(6 + F) + 20F =0 E - 86 + 206 = -26 A =5 9 -80+208 =0 9 8=4 10-32+200=0 > C=11/10 136 = -26 - E=-2 9 -68+13F =0 9 12+13F=0 9 F=-12/13 A =5 B =4 A =5 F = -12/13 E =-2 Thus, a particular solution is 11 yp = 5x + 4x+-+ (-2x - 12 13 Step3: The general solution of the given equation is y = Vet yp y = e"*(cocos2x + cysin2x) + 5x3 + 4x+ 11 + (-Zx- 12 10 13/ Example 2: Solve the given initial - value problem. y" +4y' +4y = (3+x)e-#, y(0) = 2.y'(0) =5 Stepl: We first solve the associated homogeneous equation y" +4y' +4y=0 From the auxiliary equation m'+ 4m+4=0 we find the roots (m + 2)3 =0 m+ 2=0 M12 = -2 real roots with multiplicity k = 2 Hence the complementary function is Yo = qe""+ caxex Step2: Now, we assume that a particular solution is in the form of g(x): Corresponding to (3 + x)e- we assume yo = (Ax + Bje-L The assumption for the particular solution is Yp = (Ax + Bje-1xComparing y, with our normal assumption for a particular solution yo, we see that the duplication between y, and y, are eliminated when y, is multiplied by x. Thus the correct assumption for a particular solution is yp = x(Ax + Bje-" = (Ax' + Bx]]e-1x No term in this assumption duplicates a term in Ya- We seek to determine specific coefficients A, and B for which yo is a solution of nonhomogeneous DE. Substituting yo and the derivatives yo = (3Ax +2Bx)e-2x - 2(Ax] + Bx )e-2x = (-24x] + 3Ax] -28x] + 2Bx]e-2x " = (-64x] + 64x - 48x + 28)e-2x - 2(-2Ax3 + 3Ax' -28x3 + 2Bxje-2x y" = (-64x3 + 64x -48x + 20)e-2x + (4Ax] -6Ax] + 48x] - 48x)e-2x y" = (4Ax] - 12Ax- + 48x3 + 6Ax - 88x + 2Bje-2x Into the given nonhomogeneous DE, we get (44x - 12Ax + 48x3 + 64x - 80x + 20je-"+4(-2Ax' + 3Ax' -28x3 + 2Bxje-1x +4(Ax + Bx )e-" = (3+x]e-2x (4Ax] - 12Ax + 48x2 + 6Ax - 88x + 28) +4(-24x] + 3Ax] -28x3 + 2Bxje-2x +4(Ax + Bx]) = (3+x) Because the last equation is supposed to be an identity, the coefficients of like powers of x must be equal: 14 - 8A + 41 =0 0 =0 -124 + 48 + 124 -8B + 48 =0 0=0 0=0 6A -BB + 88 = 1 6A = 1 A = 1/6 28 =3 B =3/2 B =3/2 Thus, a particular solution is 5x7) e-2x Steps: The general solution of the given equation is y=ytyp y=clear + caxe 2x + (x3+ 2x )exx In order to use initial conditions we need the derivative of the solution. Use the initial conditions y(0) = 2. y'(0) = 5 to the general solution of the equation. [)(0) = 2 cel + cz . 0 . 20 + (703 + 2-03) 20 =2 (0) =5 -2cie' + cze" - cz . 0 - e" + (2-03+3-0)60 - 2 (5 03+203)e" =5 (1 = 2The solution of the initial - value problem is y = 2e-2x + 9xe-2 + Example 3: Find a particular solution of y" - y' + g - 2sinks. Solution: A natural first guess for a particular solution would be Asin 3r. But because successive differentiations of sin de produce sin &e and cos le, we are prompted instead to assume a particular solution that includes both of these terms: Me - Acosta + Bsinde. Differentiating y, and substituting the results into the differential equation gives, after regrouping. vi - yetup = (-8A -3B) cos 3x + (3.A - 8B) sin 3= = 2sin 3x equal -BA - 38 Cos JX + 34 - 88 sin 3x - 0 cos ar + 2 sin Ir. From the resulting system of equations, -84 - 38 - 0, 3A - 8B - 2, 6 16 we get A= and H = 73 A particular solution of the equation is 16 -zin 35. 73Section 4.5 Undetermined Coefficients -Annihilator Approach Introduction An nth-order differential equation an ' y"+any"-D+.tay tay = g(x) can be written aD'y + a. 10" ly + ...+ a Dy + noy = g(x) where dark" , k = 0,12. .... When it suits our purpose, it is also written as L(y) = g(x) where L denotes the linear nth - order differential operator aD"y + an-10"-ly + +aDy + day (2) Factoring Operators When the coefficients a;, i = 0,1,2. ...n are real constants, a linear differential operator can be factored whenever the characteristic polynomial In other words, if my is a root of the auxiliary equation then L = (D -m,)P(D), where the polynomial expression P(D) is a linear differential operator of order n - 1. For example, a differential equation such as y" +4y' + 4y=0 can be written as (D'+4D+4jy =0 or (D+2)(D+2)y =0 or (D+2) y=0 Example 1: Write the given Differential equation in the form L(y) = g(x), where L is a linear differential operator with constant coefficients. If possible, factor L. y" - 5y=x -2x Solution: Day - 5y = x - 2x (D' - 5)y= x -2x (D - V5) (D + v5)y = x] -2x Example 2: Write the given Differential equation in the form L(y) = g(x), where L is a linear differential operator with constant coefficients. If possible, factor L. y" + 4y' = e cosZx Solution: Day + 4Dy = e'cos2x (D' + 4D)y = e'cos2x D(D' + 4)y = e'cos2xAnnihilator Operators If L is a linear differential operator with constant coefficients and f is a sufficiently differentiable function such that L(f(x)) = 0, then L is said to be an annihilator of the function. For example, . The differential operator D" annihilates each of the functions The differential operator (D -a)" annihilates each of the functions The differential operator [D2 - 2aD + (a? + (?)]" annihilates each of the functions ""cospx. xe"cosfx. x e"cosfx....x" e"cosfx e" singx xe"singx x e"sinfx....x -le"sinfx Example 3: Verify that the given differential operator annihilates the indicated functions. 20-1: y =40 /2 Solution: (20- 1)y=0 ? (20-1)42/2 =0 8De /2 -40*/2 =0 1 8-=e"/2 -40*/2 =0 40"/2 -405/2 =0 Example 4: Find a linear differential operator that annihilates the given function. x'(1-5x) =x -5x* Solution: Annihilator: D' because of x n-1=3 D' because of - 5x n-1=4 The highest degree of operator will annihilate the sum: D'(x]- 5x4) =0 Example 5: Find a linear differential operator that annihilates the given function. x+ 3xe Solution: Annihilator:D because of x. D-x=0 (D -6) because of xe": ": n-1 = 1, and a =6 Then the product will annihilate the sum: D'(D - 6)3(x + 3xe6) = 0Annihilator Operators If L is a linear differential operator with constant coefficients and f is a sufficiently differentiable function such that L(f (x)) = 0, then L is said to be an annihilator of the function. For example, . The differential operator D" annihilates each of the functions 1xx .....i The differential operator (D - a)" annihilates each of the functions The differential operator [D2 - 2aD + (a] + p?)]" annihilates each of the functions " cospx. xe"cosfx,xe"cosfx....x" le"cosBx easingx xe"singx x e"singx....xle"singx Example 3: Verify that the given differential operator annihilates the indicated functions. 20-1: y =4 /2 Solution: (20 - 1)y =0 ? (20-1)42/2 =0 204e*/2 -40*/2 = 0 8De"/2 -40*2 =0 1 40*/2 -405/2 =0 Example 4: Find a linear differential operator that annihilates the given function. x' (1-5x) =x -5x4 Solution: Annihilator: D' because of x n-1=3 D' because of - 5x* n-1=4 The highest degree of operator will annihilate the sum: D'(x] - 5x4) =0 Example 5: Find a linear differential operator that annihilates the given function. x + 3xe" Solution: Annihilator:D because of x. D'x=0 (D -6) because of xe": n-1 =1, and a =6 Then the product will annihilate the sum: D'(D - 6) (x + 3xe6) = 0Example 6: Find a linear differential operator that annihilates the given function. Bx - sinx + 10cos5x Solution: Annihilator:D? because of x, D' x =0 (D' + 1) because of sinx: n-1=0,a = 0,and / = 1 (D' +25) because of 10cos5x: n -1 =0,a = 0, and 8 =5 Then the product will annihilate the sum: D' (D' + 1) (D3 + 25) (8x - sinx + 10cos5x) = 0 Example 7: Find linearly independent functions that are annihilated by the given differential operator. D3 + 40 Solution: D' + 4D = D(D+4) The functions are 1, and e-+ Undetermined Coefficient - Annihilator Approach Suppose that L(y) = g(x) is a linear differential equation with constant coefficients and that the input g (x) is a linear combination of functions of the form k (constant).",x"ell,x"e"cosfx, and alesingx where i is a nonnegative integer and a and f are real numbers. We know that such a function g(x) can be annihilated by a differential operator Ly of lowest order, consisting of a product of the operators D", (D - a)", and [DZ - 2aD + (a] + p)]" Applying L1 to both sides of the equation L(y) = g(x) yields LL(y) = Li(g(x)) =0. By solving the homogeneous higher - order equation LL(y) = 0, we can discover the form of a particular solution yo for the original nonhomogeneous equation L(y) = g(x). We then substitut this assumed form into L(y) = g(x) to find an explicit particular solution. This procedure for determining yp, called the method of undetermined coefficients - annihilator method The procedure of Undetermined Coefficient -Annihilator Approach method 1. Find the complementary solution y, for the homogeneous DE L(y) = 0. 2. Operate on both sides of the nonhomogeneous equation L(y) = g(x) with a differential operator , that annihilates the function g(x). 3. Find the general solution of the higher - order homogeneous DE LL(y) = 0. 4. Delete from the solution in step 3 all those terms that are duplicated in the complementary solution y. found in step 1. Form a linear combination yo of the terms that remain. This is the form of a particular solution of L(y) = g(x). 5. Substitute y, found in step 4 into L(y) = g(x). Match coefficients of the various functions on each side of the equality, and solve the resulting system of equations for the unknown coefficients in yp . 6. With the particular solution found in step 5, form the general solution y = y, + yp of the given differential equation.Example 8: Solve the given differential equation by undetermined coefficients. y" - 2yty=x+4x Solution: The differential equation we can rewrite in the equivalent differential operator form (D' - 2D+ 1)y= x3 +4x Step 1: First, we solve the homogeneous equation y" -2y+y=0 The auxiliary equation m3 - 2m+1=0 (m - 1)= =0 m- 1 =0 m = 1 real root with multiplicity k = 2 So, the complementary function is yo =ce+czxe* Step 2: Now, since x3 + 4x is annihilated by the differential operator L1 = D+, we apply L1 = D+ to the differential equation D+(D' - 20 + 1)y = D+(x] +4x)=0 D*(D - 1) y = 0 The auxiliary equation of the o" order equation is m*(m - 1) =0 and has roots m] = my = 1, and my = my = mis = Ing = 0. Thus, the general solution is The first two terms form the complementary function of the original equation. The remaining terms form a particular solution y, of the original equation yp = A + Bx + Cx + Ex To find the specific coefficients A. B. C. and E substitute y, and its derivatives Yp = B +2Cx + 3Ex Yo = 2C+ 6Ex in the original equation. y" - 2y ty=x+4x 2C+6Ex - 2(B+ 2Cx+ 3Ex-) + A+ Bx+ Cx' + Ex = x3+ 4x 20-28+ A+ 6Ex-40x+ Bx - 6Ex' + Cx + Ex = x +4x 20-28+ A=0 A = 32 6E-4C+8 =4 D = 22 -68+C=0 C=6 E =1 E =1 Thus, the particular solution is Yp = 32 +22x+6x3+ x Step 3: The general solution of the original equation is y = Ve typ y = Ge* + cyxe" + 32 + 22x + 6x3 + x3 9Example 9: Solve the given differential equation by undetermined coefficients. y" + 4y = 4cosx + 3sinx - 8 Solution: The differential equation we can rewrite in the equivalent differential operator form (D' + 4)y = 4cosx + 3sinx - 8 Step 1: First, we solve the homogeneous equation y" +4y=0 The auxiliary equation m +4=0 m = -4 m = +2i complex conjugate roots So, the complementary function is Ye = GcosZx + cosinlx Step 2: For the functions cosx and sinx we have a = 0, # = 1, and n - 1 =0 thus, the operator D' + 1 annihilates the functions cosx and sinx. For the function (-8) we have n - 1 =0 and the operator D annihilates the function (-8). The sum of these functions 4cosx + 3sinx - 8 is annihilated by the product of operators: D ( D= +1). Now, since 4cosx + 3sinx - 8 is annihilated by the differential operator L1 = D( D= + 1), we apply L1 = D( D= + 1) to the differential equation D( D' + 1)(D'+ 4)y = D(D' + 1)(4cosx + 3sinx - 8) =0 D(D' + 1)(D' +4)y = 0 The auxiliary equation of the 5" order equation is m(m + 1)(m +4) =0 and has roots my = -2i, my = 2i, my = -i, m, = i, my =0. Thus, the general solution is y = cicos2x + casin2x + cycosx + casinx + cs The first two terms form the complementary function of the original equation. The remaining terins form a particular solution y, of the original equation Yp = Acosx + Bsinx + C To find the specific coefficients A. B. C. and E substitute y, and its derivatives y, = -Asinx + Bcosx Y= -Acosx - Bsinx in the original equation. y" + 4y = 4cosx + 3sinx - 8 -Acosx - Bsinx + 4(Acosx + Bsinx + C) = 4cosx + 3sinx - 8 -Acosx - Bsinx + 4Acosx + 48sinx + 4C = 4cosx + 3sinx - 8 -A + 4A =4 (A = 4/3 -B+48 =3 B =1 40 = -8 .C=-2 Thus, the particular solution isCOSX + Six - 2 Step 3: The general solution of the original equation is y= yetyp y = c cos2x + cosin2x +-cosx + sinx -2Section 4.7 Cauchy - Euler Equation Cauchy - Euler Equation: In this section we will consider a linear higher - order differential equation with variable coefficients whose general solution can always be expressed in terms of powers of x, sines, cosines, and logarithmic functions. A linear DE of the form anx" . y" + an-1x"-1. y(#-D)+ ... + ax . y' + doy = g(x) where the coefficients a;, i = 0, 1,2, ...,n are real constants and an * 0, is called a Cauchy - Euler equation. The characteristic of this type of the equation is that in each term the degree of the monomial coefficient x* matches the order k of differentiation y * for k = 0, 1, 2, ..., n. We start the consideration with a homogeneous linear equation anx" . y")+ an_1x-1. y(#-D) + .. + ax . y + doy =0 Once we find the complementary function ye we can solve the nonhomogeneous linear DE by variation of parameters. Auxiliary Equation We are looking for a solution of the form y = x" , where m is to be determined. After substitution of y = x" and its derivatives in the equation (1), each term of a Cauchy - Euler equation becomes a polynomial in m times x"; apark . y(k) = axxk . m(m -1)(m - 2) ...(m-k+1) x * = axm(m -1)(m- 2) ...(m- k+ 1)x. We begin by considering the special case of the second - order Cauchy - Euler equation axzy" + bry' + cy = 0 where a, b. and c are constants. After substitution of y = x' in the DE we obtain ax' . y" + bx . y' + cy = am(m - 1)x" + bmx" + cx" = (am(m -1) + bm + c)x*Thus, y = x" is a solution of the DE whenever m is a solution of the auxiliary equation am(m - 1)+ bm+c =0 or am- + (b-a)m+c=0 There are three different cases, depending on whether the roots of this quadratic equation are real and distinct, real and equal, or conjugate complex. real and distinct, real and equal, conjugate complex Case 1: Distinct Real Roots. Under assumption that the auxiliary equation has two unequal real roots m, and mz, we find two linearly independent solutions y1 = x"1 and yz = x"2 on (-co,co), which form a fundamental set. It follows that the general solution of the DE on this interval is V = ciam, + czar? Case 2: Repeated Real Roots. When my = my, we obtain only one solution, y1 = xi. In this case the root of the auxiliary quadratic equation is m, = -(b - a)/(2a). Using the reduction of order we can find a second solution V1 = xmilnx The general solution (the complementary function) is y = (1xi + cixminx For higher - order equations, if m, is a root of multiplicity k, then mi, xinx, xml (Inx). ...,xmi (Inx]k-1 Case 3: Conjugated Complex Roots. If mi and my are complex, then we can write my = a + if and my = a - if, where a and B > 0 are real and i- = -1. Formally, the general solution is y = cixatif + czxo-if However, in practice we prefer to work with real functions instead of complex exponentials. We use the identity xif = (elmx)" = giffinx and Euler's formula: x'P = cos(Binx) + isin(Binx) Using this fact, we find another set of linearly independent real solutions on (0, co): V1 = x"cos(fInx) and yz = x'sin(BInx) Consequently, the general solution is y = Cix"cos(Binx) + cax"sin(BInx) y = x" (cicos(BInx) + czsin(BInx))Example 1: Solve the given differential equation. xzy" + 5xy' + 3y =0 Substituting y = x" and its the first and the second derivatives y' = mx-1, y" = m(m -1)x-2 in the equation we obtain x-m(m - 1)x-2 + 5xmx-1+ 3x" = 0 m(m - 1)x + 5mx" + 3x" = 0 The auxiliary equation is m(m - 1) + 5m + 3 = 0 m- - m + 5m + 3 = 0 m-+ 4m +3 =0 (m + 1)(m + 3) = 0 m1 =-1, my = -3 distinct real roots case 1 So, the general solution will be y= quitcx Example 2:_ Solve the given differential equation. x3y""+xy' - y =0 Substituting y = x" and its the first three derivatives y' = mx*-1, y" = m(m -1)x*-2, y"= m(m - 1)(m - 2)xm-3 in the equation we obtain x'm(m - 1)(m - 2)xm-3 + xmx-1 -x = 0 m(m - 1)(m - 2)x* + mx" -x" = 0 The auxiliary equation is m(m - 1)(m-2)+m-1=0 (m - 1)(m(m - 2) + 1) =0 (m - 1) (m- - 2m + 1) = 0 (m - 1)(m - 1)= = 0 (m - 1)3 = 0 mi = my = m; = 1 repeated real roots with multiplicity k = 3 case 2 So, the general solution will be y = cix + czxinx + cax(Inx)2Example 3: Solve Ax y" + 17y = 0 Solution: The y' term is missing in the given Cauchy-Euler equation; nevertheless, the substitution y = a" yields Ar y' + 17y = 2" (Am(m - 1) + 17) = 2" (4m' - 4m + 17) = 0 when 4m" - 4m + 17 = 0. From the quadratic formula we find that the roots are 71 = + 2/ and my = - 21. With the identifications o = , and 8 = 2 we see from (6) that the general solution of the differential equation is y = = [c cos(2 In x) + c2 sin(2 Inx)]. Nonhomogeneous Linear DE To solve second - order nonhomogeneous Cauchy - Euler DE ax y" + bxy' + cy = g(x) 1. Solve homogeneous Cauchy - Euler DE using the auxiliary equation and form the complementary function Ve(x) = CIMI(x) + czy2(x) 2. Use the variation of parameters method to find yp particular solution of DE. 3. The general solution of DE (4) is y = ye typ Example 4: Solve the given Differential equation by variation of parameters xly" - 2xy' + 2y= rex Step1: We begin solving homogeneous linear Cauchy - Euler DE xly" - 2xy + 2y = 0 Substituting y = x" and its the first and the second derivatives y' = mx" , y"=m(m -1)xm-2 in the equation we obtain x'm(m - 1)xm-2 -2xmxm-1+ 2xm = 0 m(m - 1)xm -2mam + 2xm = 0 The auxiliary equation is m(m - 1) - 2m + 2 =0 m' - m - 2m + 2 =0 m- - 3m + 2 =0(m - 1) (m - 2) = 0 m1 = 1, my = 2 distinct real roots case 1 So, the general solution of the homogeneous DE is Yo = Cix+ C2x- The fundamental set of independent solutions is: Y1 = x, y2 = x- Step2: Use the variation of parameters method. Compute the Wronskian using y1 = x, yz = x2 W(1(x), yz(x)) = > >= = 1 2x (x x = 2x2 - x2 = x2 Step 3: Rewrite the equation into the standard form dividing by the coefficient x2: 2 2 and identify f(x): f(x) = x2ex Step 4: Form Wj, and W2 determinants 0 x2 W1 = f(x) 2 =-xtex, 0 W2 = and find up and uz by integrating W1 -xter W2 = Xe* W x2 = -xlex and uz = M uj (x) = - xedx = -xe* + 2xex -2e* uz (x ) = xedx = xet - ex Step 5: A particular solution of nonhomogeneous DE is Vp(x) = uj(x)y1(x) + uz(x)yz(x) Vp(x) = (-xe* + 2xe* -2e)x + (xe* - e)x] yp( x) =-xe+2xex -2xe*+ pet - xle* Yp(x) = xex - 2xex Step 6: The general solution of the nonhomogeneous DE is y = Ve + Vp y= auxtax-+re -2xe*Reduction to Constant Coefficients Any Cauchy - Euler equation can always be written as a linear differential equation with constant coefficients by means of the substitution x = et. The procedure of reduction: 1. Substitute x = e' in the Cauchy - Euler equation and simplify. 2. Solve the new linear DE with constant coefficients in terms of the variable t, using the auxiliary equation. 3. Resubstitute t = Inx. Example 5: Solve the given Differential equation by variation of parameters xly" - 9xy' + 25y = 0 For substitution x = e' or t = Inx we need to compute y', and y": dy dy dt dy 1 1 dy V dx dt dx dt x x dt d /dy d 1 dy 1 d dy d da-2 dx \\dx dx x dt) x dx dt dt dx x 1 d dy 1 dy 1 dy dy 1 /d'y dy x dt dt) x dt x2 dt dt2 dt Substitute in the given DE and simplify 1 day dy 1 dy + 25y = 0 dt 9x . dtz x dt dy dy 9 - + 25y = 0 dt2 dt dt dy dt2 10- dt + 25y = 0 The result is linear DE with constant coefficients. Its auxiliary equation is m? - 10m + 25 = 0 (m - 5)= = 0 m, = my =5 repeated real roots with multiplicity k = 2 case 2 The general solution of the homogeneous equation is y = quest + catest Back substitute t = Inx. V = Ciesinx + Cz(Inx)eslax y = c1x5 + czx5(Inx)

Step by Step Solution

There are 3 Steps involved in it

1 Expert Approved Answer
Step: 1 Unlock blur-text-image
Question Has Been Solved by an Expert!

Get step-by-step solutions from verified subject matter experts

Step: 2 Unlock
Step: 3 Unlock

Students Have Also Explored These Related Mathematics Questions!