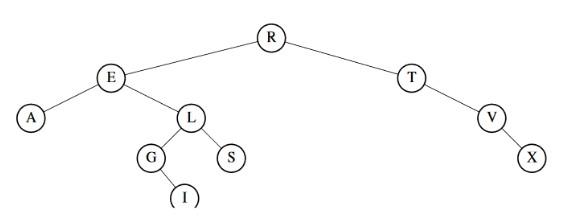
Question: solve R E A S X d) Assume that node I, whose key is ki, is a leaf of a BST and that its parent


solve
R E A S X d) Assume that node I, whose key is ki, is a leaf of a BST and that its parent is node p, with key kp. Prove that, of all the keys in the BST, kp is either the smallest key greater than kl or the largest key smaller than kl
Step by Step Solution
There are 3 Steps involved in it
Get step-by-step solutions from verified subject matter experts
