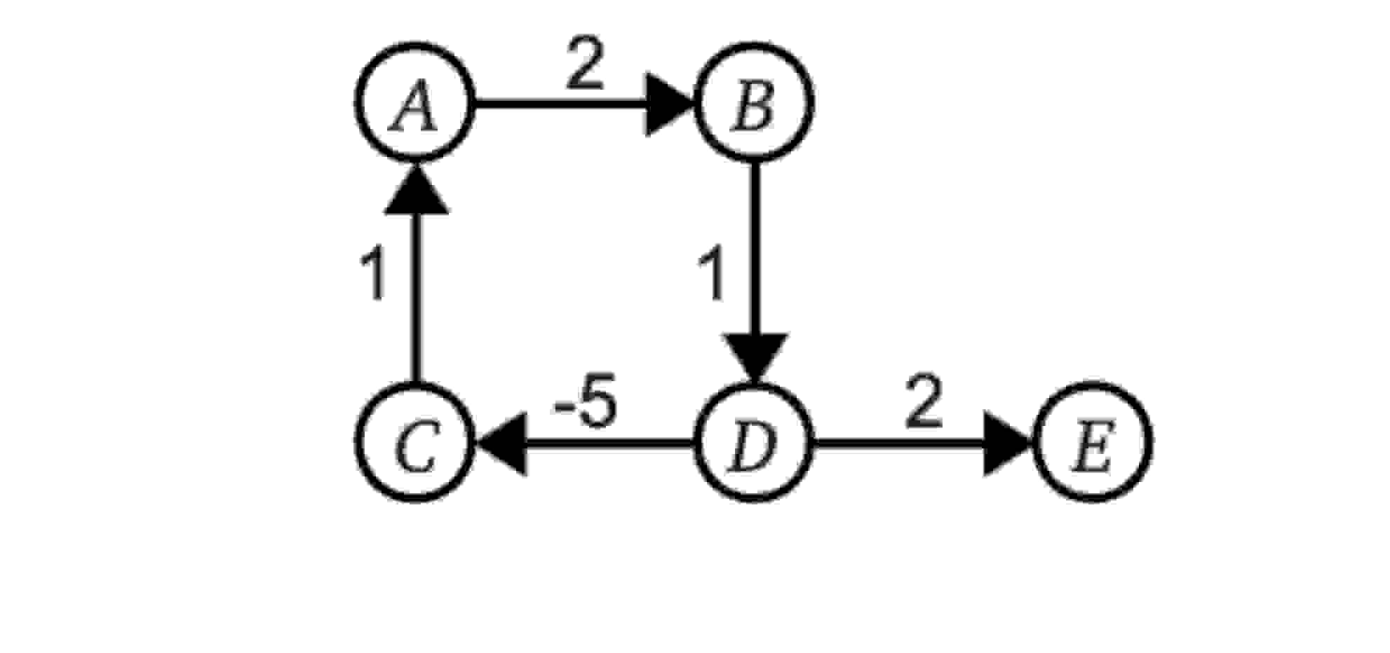
Question: Solve the below problem to find the single source shortest path starting from vertex A . State which algorithm you will use and why? explain
Solve the below problem to find the single source shortest path starting from vertex A State which algorithm you will use and why? explain all steps and the result and the shortest path calculation
Step by Step Solution
There are 3 Steps involved in it
1 Expert Approved Answer
Step: 1 Unlock
Question Has Been Solved by an Expert!
Get step-by-step solutions from verified subject matter experts
Step: 2 Unlock
Step: 3 Unlock
