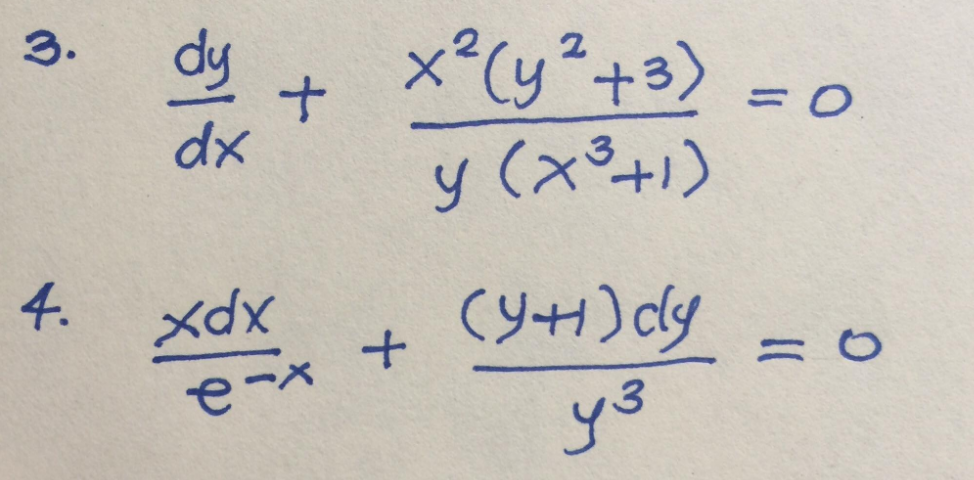
Question: Solve the differential equation 3 . dy x 2 + dx = O y ( X 3 + 1 4. xdx ex t ( YH)
Solve the differential equation

3 . dy x 2 + dx = O y ( X 3 + 1 4. xdx ex t ( YH) cly = 0
Step by Step Solution
There are 3 Steps involved in it
1 Expert Approved Answer
Step: 1 Unlock
Question Has Been Solved by an Expert!
Get step-by-step solutions from verified subject matter experts
Step: 2 Unlock
Step: 3 Unlock
