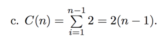
Question: solve the following algorithm by finding its summation, show full steps and give an example of an array: example for solution: c) solution ALGORITHM Med
solve the following algorithm by finding its summation, show full steps and give an example of an array:

example for solution:

c) solution

ALGORITHM Med CACo na) Fertin o to n-do for n to do else f ACJ), Act, then if smCK and kb (sm?4) then return ACiJ
Step by Step Solution
There are 3 Steps involved in it
Get step-by-step solutions from verified subject matter experts
