Question: Solve the following differential equation and plot a time course for Xh, Xt, S1, S2, E, and P? Kindly provide a detailed code in either
Solve the following differential equation and plot a time course for Xh, Xt, S1, S2, E, and P? Kindly provide a detailed code in either MATLAB, R or Excel.



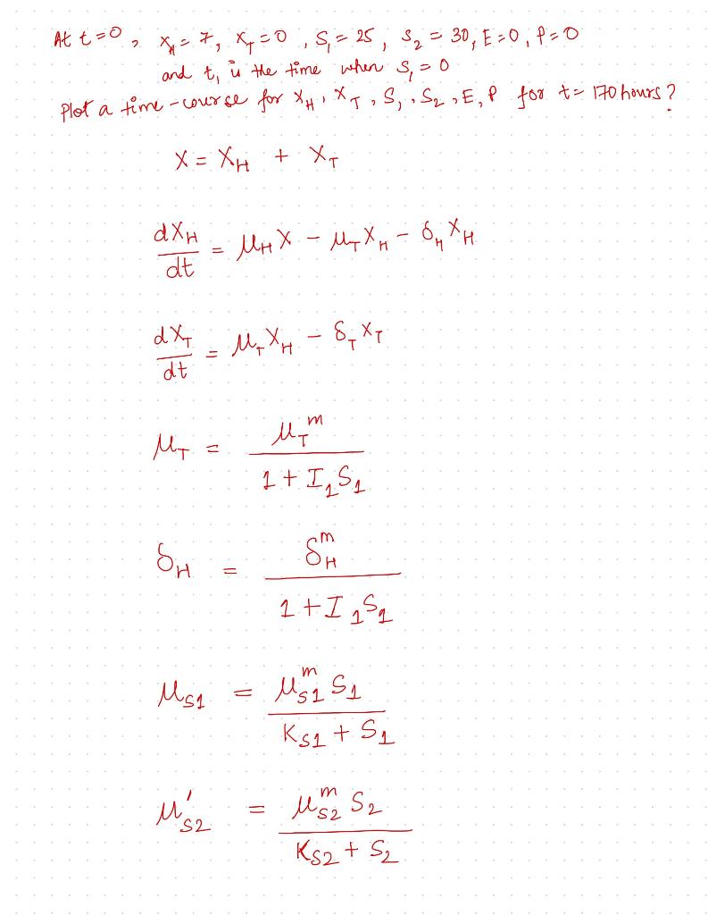
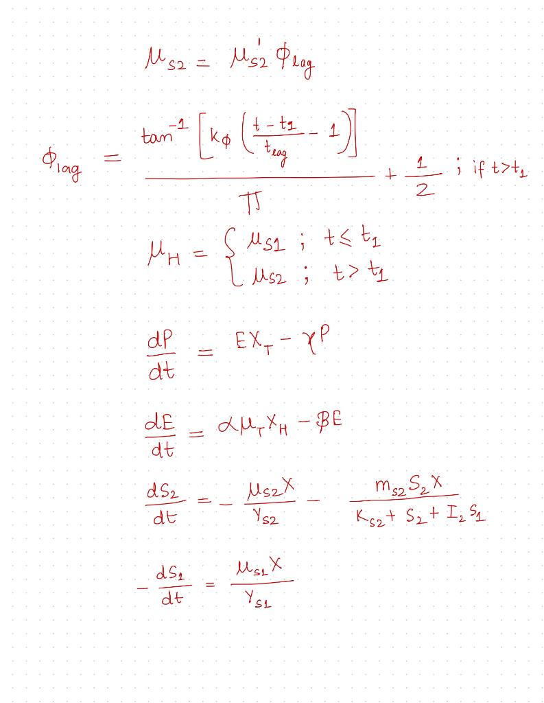
At t=0,xA=7,xT=0,S1=25,S2=30,E=0,P=0 and t1 is the time when S1=0 Plot a time - course for XH,XT,S,S2,E,P for t=170 hours? x=xH+xTdtdxH=HxTxHHxHdtdxT=TxHTxTT=1+I1S1TmH=1+I1S1HmS1=KS1+S1S1mS1S2=KS2+S2S2mS2 s2=s2laglag=tan1[k(ttogtt11)]+21;ift>t1H={S1,S2,tt1t>t1dtdP=EXTYPdtdE=TxHEdtdS2=ys2s2xKs2+S2+I2S1ms2S2xdtdS1=ys1s1x
Step by Step Solution
There are 3 Steps involved in it
Get step-by-step solutions from verified subject matter experts
