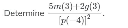
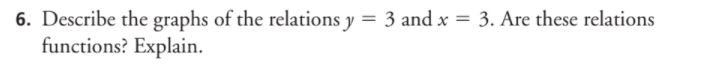
Question: Solve the following equations ffa) Explain why this relation is a function. Why is it important for this to be so? b) State the domain
Solve the following equations















Step by Step Solution
There are 3 Steps involved in it
1 Expert Approved Answer
Step: 1 Unlock
Question Has Been Solved by an Expert!
Get step-by-step solutions from verified subject matter experts
Step: 2 Unlock
Step: 3 Unlock
