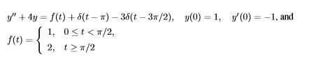
Question: Solve the following Function by given values: y + 4y = f(t) + 5(t n) 36(t 37/2), y(0) = 1, y(0) = -1, and %3D

y" + 4y = f(t) + 5(t n) 36(t 37/2), y(0) = 1, y(0) = -1, and %3D 1, 0
Step by Step Solution
3.54 Rating (158 Votes )
There are 3 Steps involved in it
ys s4 TTS S 1 te 3S 3e 3D TTS e 3e e s4 s4 ys ss4 Taking Inverse Laplace Transform ycs z Lyc... View full answer
Get step-by-step solutions from verified subject matter experts
