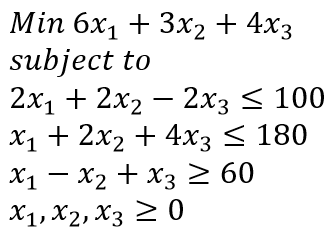
Question: Solve the following LP Formulation using Excel Solver. Upload your solution file to this question. Min 6x1+3x2+4x3 subject to 2x1+2x22x3100 x1+2x2+4x3180 x1x2+x360
Solve the following LP Formulation using Excel Solver. Upload your solution file to this question.

Step by Step Solution
There are 3 Steps involved in it
1 Expert Approved Answer
Step: 1 Unlock
Question Has Been Solved by an Expert!
Get step-by-step solutions from verified subject matter experts
Step: 2 Unlock
Step: 3 Unlock
