Question: Solve the following LPs using the simplex method (use both the Big-M Method and the Two-Phase Method to verify that they yield the same conclusion).
Solve the following LPs using the simplex method (use both the Big-M Method and the Two-Phase Method to verify that they yield the same conclusion). Comment on whether the problem is feasible or not. If the problem is feasible, then comment on whether the optimal objective function value is bounded or unbounded. If the problem is feasible and the optimal objective function value is unbounded, then find a direction of unboundedness. If the problem is feasible and the optimal objective function value is bounded, then comment on whether the optimal solution is unique or there are multiple optimal solutions

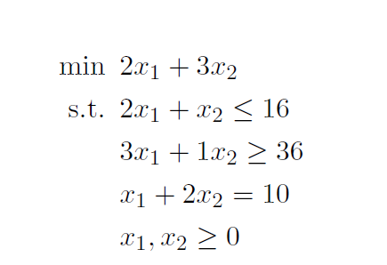
2x1+3x2 2x1+x216 3x1+1x236 x1+2x2=10 x1,x20
Step by Step Solution
There are 3 Steps involved in it
Get step-by-step solutions from verified subject matter experts
