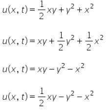
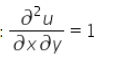
Question: Solve the following partial differential equation (initial value problem): u(x, t) = xy+ y-+ x2 u(x, t) = xy+ y 2 + 2 u( x,
Solve the following partial differential equation (initial value problem):


Step by Step Solution
There are 3 Steps involved in it
1 Expert Approved Answer
Step: 1 Unlock
Question Has Been Solved by an Expert!
Get step-by-step solutions from verified subject matter experts
Step: 2 Unlock
Step: 3 Unlock
