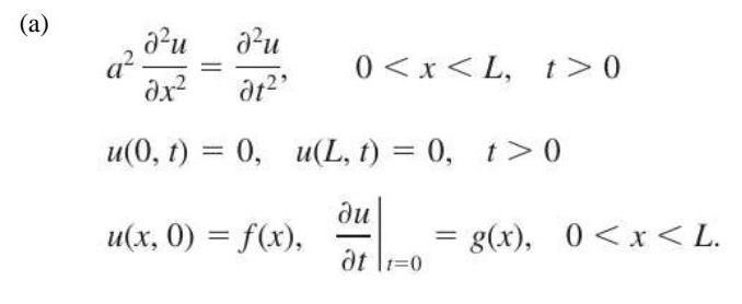
Question: Solve the following PDEs with Boundary conditions using separable Method (b) Suppose we wish to find the steady-state temperature u(x,y) in a regular plate whose
Solve the following PDEs with Boundary conditions using separable Method

(b) Suppose we wish to find the steady-state temperature u(x,y) in a regular plate whose vertical edges x=0 and x=a are insulated. when no heat escapes from the lateral faces of the plate, we solve the following boundary-value problem
(a) du du x t u(0, t) = 0, u(L, t) = 0, t> 0 a- = u(x, 0) = f(x), 0
Step by Step Solution
3.42 Rating (149 Votes )
There are 3 Steps involved in it
It looks like there is some confusion in your question Youve mentioned steadystate temperature but provided the images of two different partial differential equations PDEs The first image presents a t... View full answer
Get step-by-step solutions from verified subject matter experts
