Question: Solve the following rational equations algebraically. If a solution is not a whole number, leave as an exact value or round to the nearest hundredth.
Solve the following rational equations algebraically. If a solution is not a whole number, leave as an exact value or round to the nearest hundredth. Verify all solutions

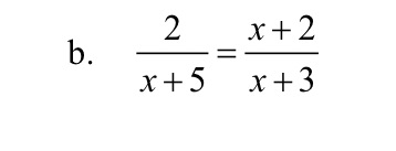
b. X+2 x+5 X +3
Step by Step Solution
There are 3 Steps involved in it
Get step-by-step solutions from verified subject matter experts
