Question: Solve the following with solution using u-subtituiton topic; integration by algebraic subst integration by parts integration leading to inverse trigonometric function 1. TRUE OR FALSE.

Solve the following with solution
using u-subtituiton
topic;
integration by algebraic subst
integration by parts
integration leading to inverse trigonometric function

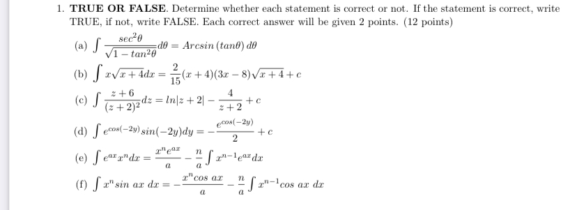
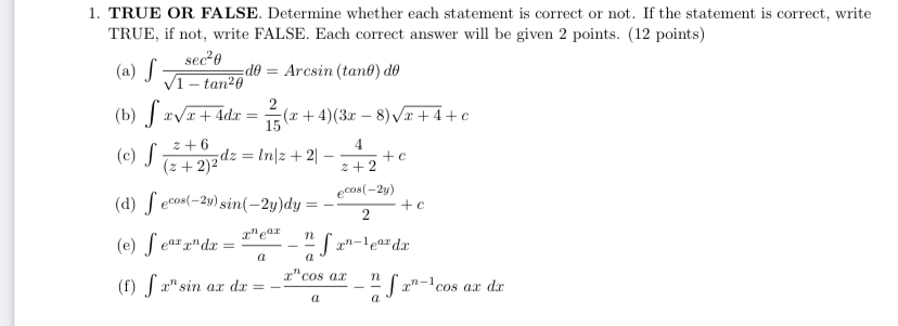
1. TRUE OR FALSE. Determine whether each statement is correct or not. If the statement is correct, write TRUE, if not, write FALSE. Each correct answer will be given 2 points. (12 points) sec20 (a) J V1 - tan20 do = Arcsin (tand) do (b) avr + Adr = 2 5(+4)(3 - 8)vr+4+c 2+6 (c) J 4 dz = In|= + 2 - + c (2 + 2)2 z+2 (cos(-2y) (d) ecos(-24) sin(-2y)dy =- + c 2 (e) [ emdr = n a a - Jan-leardx (f) [ a" sin ar dr = - "cos ar n [x-'cos ax dx a
Step by Step Solution
There are 3 Steps involved in it
Get step-by-step solutions from verified subject matter experts
