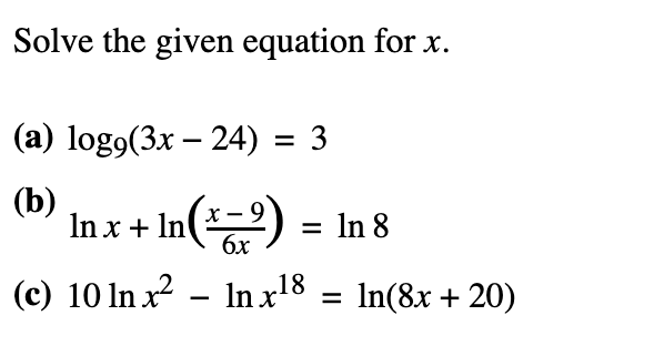
Question: Solve the given equation for x. (a) logo(3x - 24) = 3 (b) In x + In x - In 8 6x (c) 10 Inx2


Solve the given equation for x. (a) logo(3x - 24) = 3 (b) In x + In x - In 8 6x (c) 10 Inx2 - Inx 18 = In(8x + 20)
Step by Step Solution
There are 3 Steps involved in it
Get step-by-step solutions from verified subject matter experts
