Question: Solve The Initial Value Problem Y''-4y'+5y=0, Y(0)=1, Y'(0)=0 Find The General Solution Of The Differential Equation Y^(4)+4y'''+4y''=0 The Answer Is Provided But Could You Explainand
Solve The Initial Value Problem Y''-4y'+5y=0, Y(0)=1, Y'(0)=0 Find The General Solution Of The Differential Equation Y^(4)+4y'''+4y''=0 The Answer Is Provided But Could You Explainand Workout
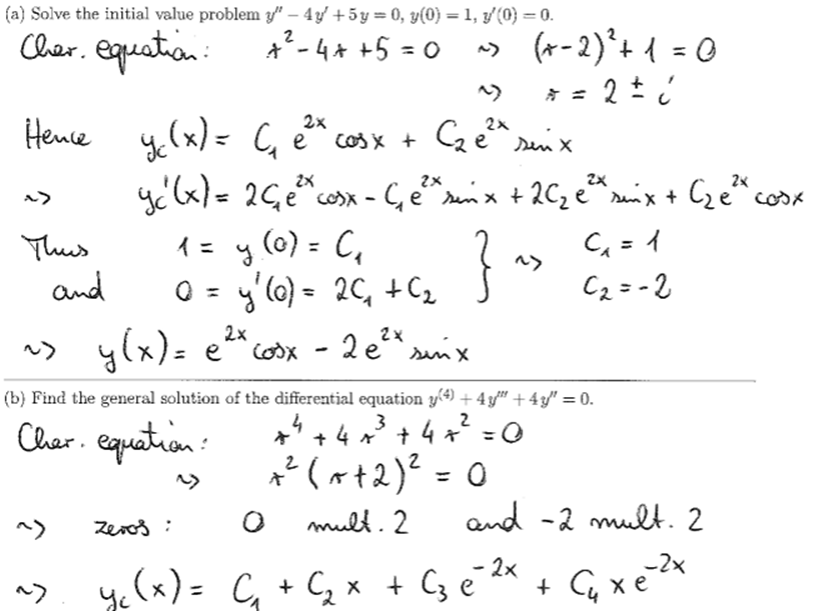
Solve the initial value problem y''-4y'+5y=0, y(0)=1, y'(0)=0
find the general solution of the differential equation y^(4)+4y'''+4y''=0
the answer is provided but could you explainand workout

(a) Solve the initial value problem y"-4y+5y=0, y(0) = 1, 3'(0) = 0. Cher. equation: +-4++5=0 ~>(+-2) + 1 = 0 2x ~ * = 2 Hence y (x) = C e 4 y(x) = ex cosx - 2sinx 600x } C = 1 ~> C2=-2 (b) Find the general solution of the differential equation y(4) +4y+4y = 0. Cher. equation: 14+4 2 + +4+3 +4+ = 0 2 + ( + + 2) = 0 ~> ~> Zeros: 0 mult. 2 and -2 mult. 2 y (x) = C + C x + Cz e 2x + Cu xe 2x
Step by Step Solution
There are 3 Steps involved in it
Get step-by-step solutions from verified subject matter experts
