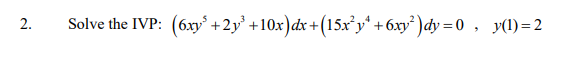
Question: Solve the IVP: ( 6 x y 5 + 2 y 3 + 1 0 x ) d x + ( 1 5 x 2
Solve the IVP:
Step by Step Solution
There are 3 Steps involved in it
1 Expert Approved Answer
Step: 1 Unlock
Question Has Been Solved by an Expert!
Get step-by-step solutions from verified subject matter experts
Step: 2 Unlock
Step: 3 Unlock
