Question: Solve the IVPs by the Laplace transform. If necessary, use partial fraction expansion as in Example 4 of the text. Show all details. Solve 8
Solve the IVPs by the Laplace transform. If necessary, use partial fraction expansion as in Example 4 of the text. Show all details. Solve 8 and 9 please.

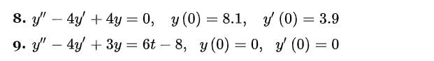
8. y4y+4y=0,y(0)=8.1,y(0)=3.9 9. y4y+3y=6t8,y(0)=0,y(0)=0
Step by Step Solution
There are 3 Steps involved in it
1 Expert Approved Answer
Step: 1 Unlock
Question Has Been Solved by an Expert!
Get step-by-step solutions from verified subject matter experts
Step: 2 Unlock
Step: 3 Unlock
