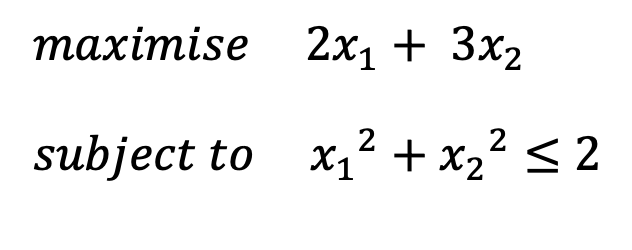
Question: Solve the Non-linear Programming Problem using Karush-Kuhn Tucker condition maximise 2x1 + 3x2 subject to x12 + x2
Solve the Non-linear Programming Problem using Karush-Kuhn Tucker condition

Step by Step Solution
There are 3 Steps involved in it
1 Expert Approved Answer
Step: 1 Unlock
Question Has Been Solved by an Expert!
Get step-by-step solutions from verified subject matter experts
Step: 2 Unlock
Step: 3 Unlock
