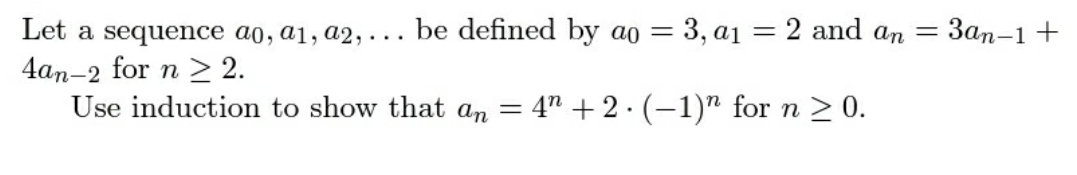
Question: solve the problem quickly Let a sequence ao, a1, a2, . . . be defined by ao = 3, a1 = 2 and an =
solve the problem quickly

Step by Step Solution
There are 3 Steps involved in it
1 Expert Approved Answer
Step: 1 Unlock
Question Has Been Solved by an Expert!
Get step-by-step solutions from verified subject matter experts
Step: 2 Unlock
Step: 3 Unlock
