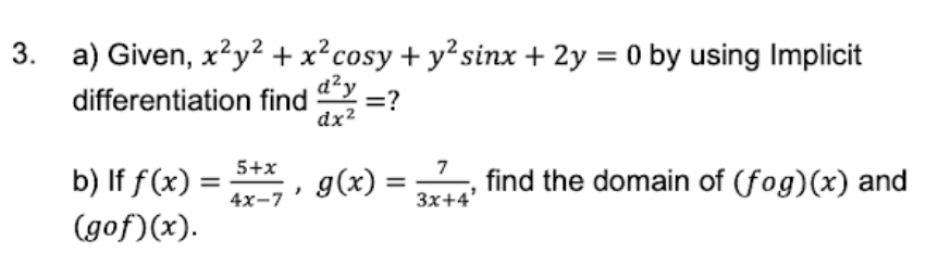
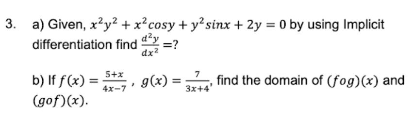
Question: solve the question 3. a) Given, x2y2 + x2cosy + y'sinx + 2y = 0 by using Implicit differentiation find d'y =? dx2 b) If

solve the question

3. a) Given, x2y2 + x2cosy + y'sinx + 2y = 0 by using Implicit differentiation find d'y =? dx2 b) If f ( x ) = 5+x 7 4x-7 , g(x) = find the domain of (fog) (x) and 3x+4 (gof) (x)
Step by Step Solution
There are 3 Steps involved in it
Get step-by-step solutions from verified subject matter experts
