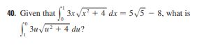
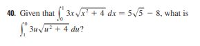
Question: Solve these problems 912 Use the Midvtnt Rule with the given value of to approx- imate the integral. Round the answer to four decimal places.















Solve these problems















912 Use the Midvtnt Rule with the given value of to approx- imate the integral. Round the answer to four decimal places.
Step by Step Solution
There are 3 Steps involved in it
Get step-by-step solutions from verified subject matter experts
