Question: solve this question below the example question. solve the question that doesnt have answers and show steps please. please and show steps. i have pasted
solve this question below the example question. solve the question that doesnt have answers and show steps please. please and show steps. i have pasted another attachment as reference for you of an example of an integral question being solved by alegraic substitution which is required for the question to be solved by algebraic substituion method only..


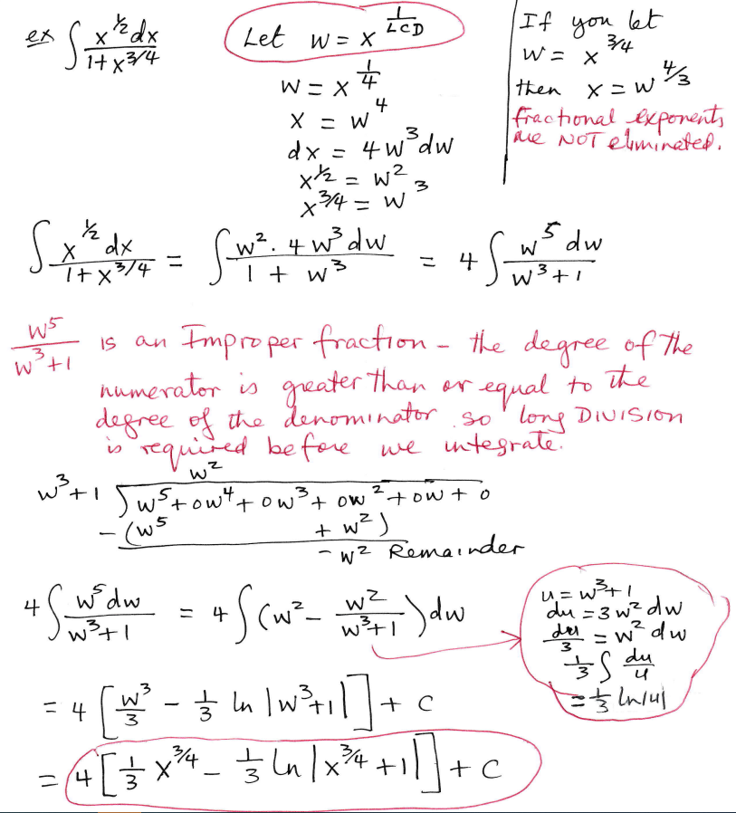
dx Integrate by Algebraic Substitution. x -Axex X 12 dx Let W = X LCD If you let 14 x 3/4 W= X 3/4 W = X 4 then X= W'S X = WY fractional exponents d x = 4 w dw Me NOT eliminated. X/2 = W2 X 74 = W 3 Jx 2 dx 1+ x 3/ 4 = (w2 . 4 w dw 1+ w3 = 4 w dw W +1 W5 12+1 is an Improper fraction - the degree of The numerator is greater than or equal to the degree of the denominator so long Division is required before we integrate. W 2 W + 1 ) W s + owt + ow + ow ? tow + o ( W 5 + w2 ) - W2 Remainder 4 wdw W 2 W + 1 W + 1 dw L= WTI du = 3 wz dw 3 du = wlw 3 \\ u 4 - 3 In Iw til + c = 4 x 4 - 3 (n / x 34 + 1/ + c
Step by Step Solution
There are 3 Steps involved in it
Get step-by-step solutions from verified subject matter experts
