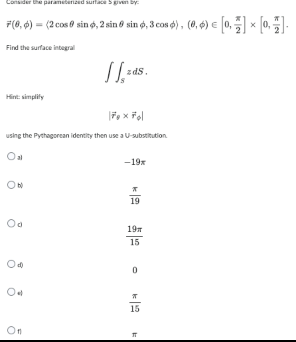
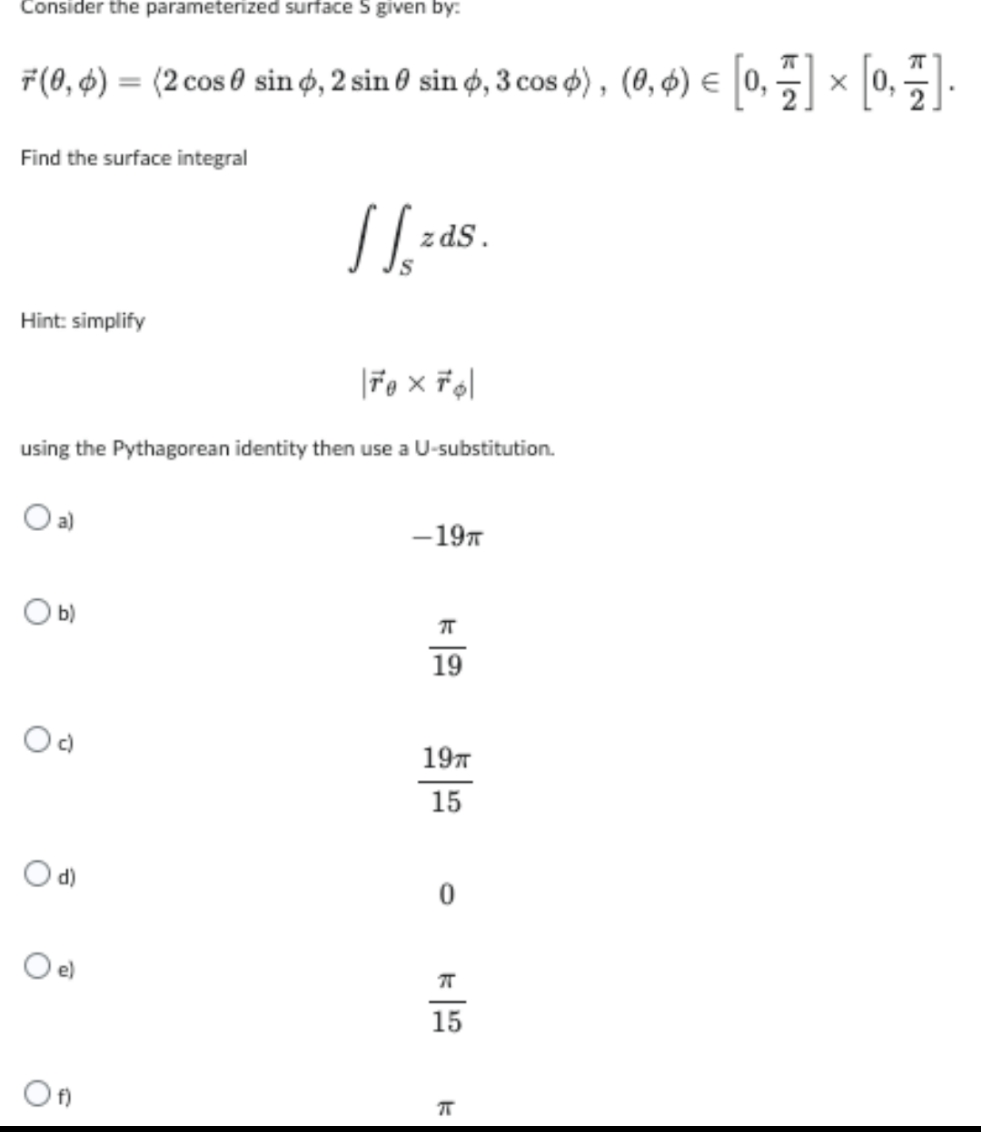
Question: solve this question Consider the parameterized surface S given by: F(0, 4) = (2 cos 0 sin , 2 sin 0 sin d, 3 cos

solve this question

Consider the parameterized surface S given by: F(0, 4) = (2 cos 0 sin , 2 sin 0 sin d, 3 cos b) , (0, $) 6 0, , x 0, 2]. Find the surface integral I Eds. Hint: simplify FOX Tel using the Pythagorean identity then use a U-substitution. O a) O b) TT 19 O d 15 O d) 0 O el 15
Step by Step Solution
There are 3 Steps involved in it
Get step-by-step solutions from verified subject matter experts
