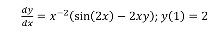
Question: solve using 4th order runge kutta method, interval is (1,2) and h is 0.1. note that xn = 1 and yn = 2 for the
solve using 4th order runge kutta method, interval is (1,2) and h is 0.1. note that xn = 1 and yn = 2 for the initial values
dy = x-2 (sin(2x) - 2xy); y(1) = 2 = dx =
Step by Step Solution
There are 3 Steps involved in it
1 Expert Approved Answer
Step: 1 Unlock
Question Has Been Solved by an Expert!
Get step-by-step solutions from verified subject matter experts
Step: 2 Unlock
Step: 3 Unlock
