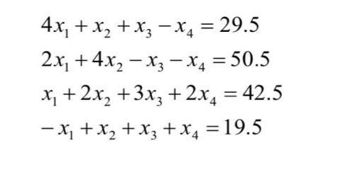
Question: Solve using Gauss Jacobi and Gauss-Seidel method 4x, + x, +x, - X4 = 29.5 2x, + 4x, x, -x, = 50.5 X, + 2x,
Solve using Gauss Jacobi and Gauss-Seidel method

4x, + x, +x, - X4 = 29.5 2x, + 4x, x, -x, = 50.5 X, + 2x, +3x, +2x, = 42.5 | %3D | -X, +x, +x3 +x, =19.5
Step by Step Solution
3.34 Rating (160 Votes )
There are 3 Steps involved in it
Get step-by-step solutions from verified subject matter experts
Document Format (2 attachments)
635d77b404460_175892.pdf
180 KBs PDF File
635d77b404460_175892.docx
120 KBs Word File
