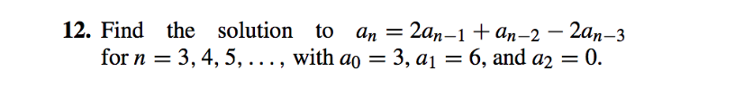
Question: Solve using Maple software: 12. Find the solution to an 2an-1+an-2 -2an-3 for n -3, 4,5,..., with ao- 3, ai-6, and a2 0
Solve using Maple software:

12. Find the solution to an 2an-1+an-2 -2an-3 for n -3, 4,5,..., with ao- 3, ai-6, and a2 0
Step by Step Solution
There are 3 Steps involved in it
Get step-by-step solutions from verified subject matter experts
