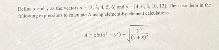
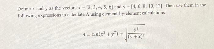
Question: solve using matlab Define x and y as the vectors x - [2, 3, 4, 5, 6] and y - [4, 6, 8, 10, 12].

solve using matlab
![- [2, 3, 4, 5, 6] and y - [4, 6, 8,](https://s3.amazonaws.com/si.experts.images/answers/2024/06/6668408baf733_2996668408b9f9b5.jpg)
Define x and y as the vectors x - [2, 3, 4, 5, 6] and y - [4, 6, 8, 10, 12]. Then use them in the following expressions to calculate A using element-by-element calculations A = xln(x +y )+ (y + x)2
Step by Step Solution
There are 3 Steps involved in it
Get step-by-step solutions from verified subject matter experts
