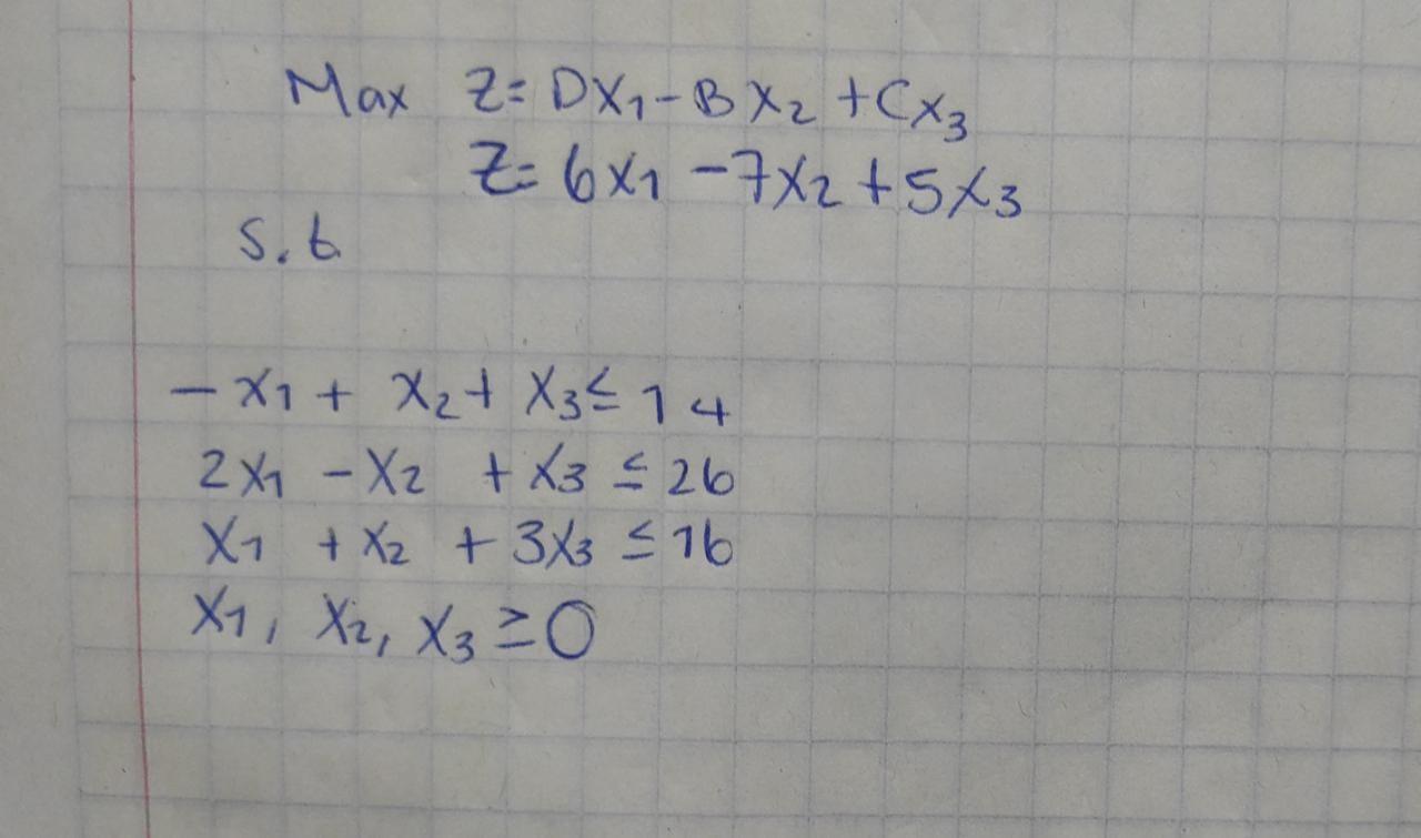
Question: solve with matrix simplex method Max Z= DX, BX 2 + (x Z- 6x1-7X2 + 5x3 Sob - X1 + X + X3 14 2x
solve with matrix simplex method

Step by Step Solution
There are 3 Steps involved in it
1 Expert Approved Answer
Step: 1 Unlock
Question Has Been Solved by an Expert!
Get step-by-step solutions from verified subject matter experts
Step: 2 Unlock
Step: 3 Unlock
