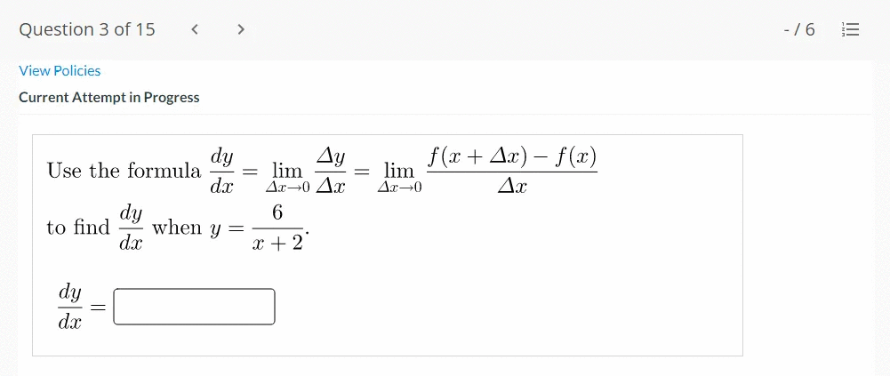
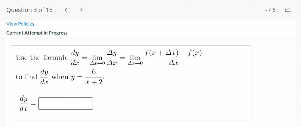
Question: Solve with solution start the numbering in number 2 Question 4 of 15 View Policies Current Attempt in Progress The function f' defined by the




Solve with solution start the numbering in number 2




Question 4 of 15 View Policies Current Attempt in Progress The function f' defined by the formula f '(t) lim is called the derivative of f with respect to t. The domain of f' consists of all t in the domain of f for which the limit exists. Use this definition to find f if f (t)
Step by Step Solution
There are 3 Steps involved in it
Get step-by-step solutions from verified subject matter experts
