Question: Solve without Using excel/Matlab. solve using GIVEN formulas whenever APPLICABLE. ((Do not try to solve by assuming each cash flow as a single cash flow


Solve without Using excel/Matlab. solve using GIVEN formulas whenever APPLICABLE. ((Do not try to solve by assuming each cash flow as a single cash flow at its corresponding year))
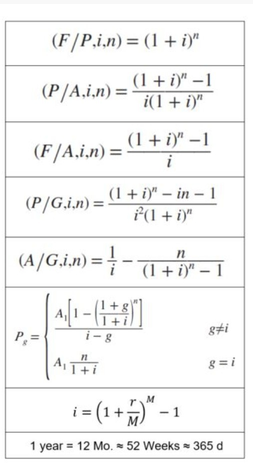
Problem 2 [20p]: A company offers the following two options to sell a car: Option 1: you do not have to make any payments for 6 months. After that att 6th month from now), you pay 3000 QR per month for 2 years. Option 2: you pay 1000 QR per month after 1 month from now for 2 years. ents for 6 months. After that (at the end of the The interest rate is 30% per year, compounded monthly. Draw a cash flow diagram for each option, and select the better option based on comparing the present worth values, (F/P,i,n) = (1 + i)" (P/A.i.n)- (1 + i)" - 1 i(1 + i)" (F/A,1,n) = (1 + i)" 1 (P/G,1,n)= (1 DICE _(1 + i)" - in - 1 if (1 + i)" (A/G.i.n) = 4 - 0 +)- P. i- g 1 year = 12 Mo. - 52 Weeks = 365 d
Step by Step Solution
There are 3 Steps involved in it
Get step-by-step solutions from verified subject matter experts
