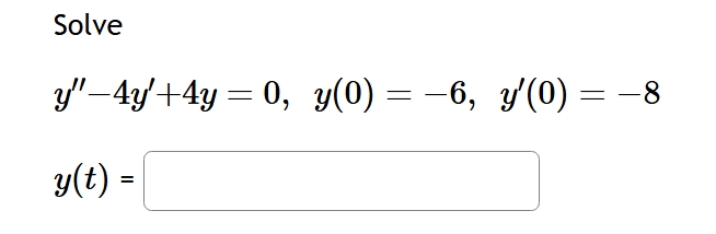
Question: Solve y ' ' - 4 y ' + 4 y = 0 , y ( 0 ) = - 6 , y ' (
Solve
Step by Step Solution
There are 3 Steps involved in it
1 Expert Approved Answer
Step: 1 Unlock
Question Has Been Solved by an Expert!
Get step-by-step solutions from verified subject matter experts
Step: 2 Unlock
Step: 3 Unlock
