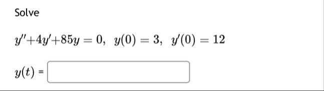
Question: Solve y ' ' 4 y ' 8 5 y = 0 , y ( 0 ) = 3 , y ' ( 0 )
Solve
Step by Step Solution
There are 3 Steps involved in it
1 Expert Approved Answer
Step: 1 Unlock
Question Has Been Solved by an Expert!
Get step-by-step solutions from verified subject matter experts
Step: 2 Unlock
Step: 3 Unlock
