Question: SPREADSHEET 21.1 The savings plan A B C D E Retirement Years Income Growth Savings Rate ROR 2 25 0.07 0.15 0.06 w Age Income

SPREADSHEET 21.1 The savings plan A B C D ESPREADSHEET 21.1 The savings plan A B C D E
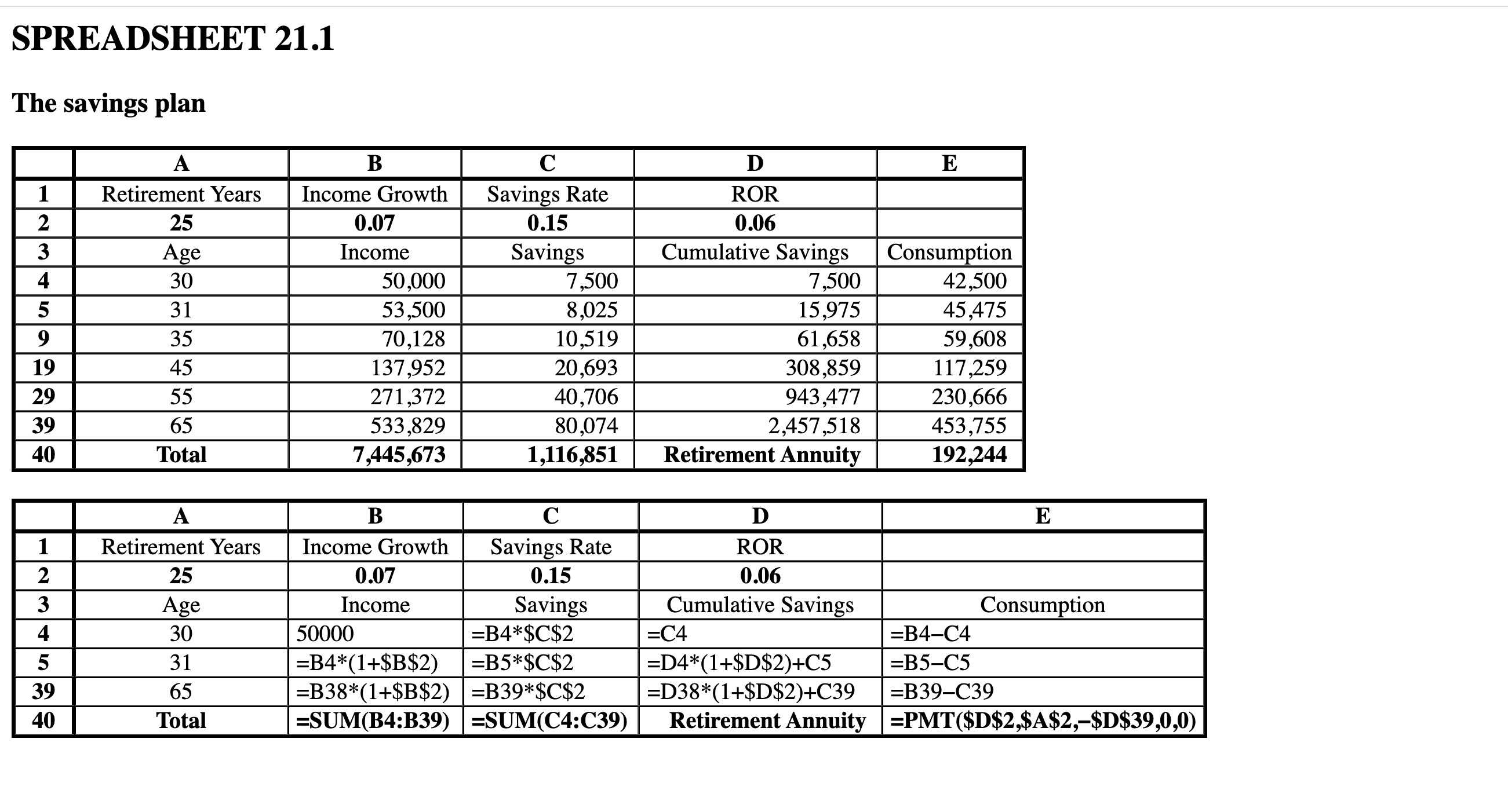
SPREADSHEET 21.1 The savings plan A B C D E Retirement Years Income Growth Savings Rate ROR 2 25 0.07 0.15 0.06 w Age Income Savings Cumulative Savings Consumption 4 30 50,000 7,500 7,500 42,500 5 31 53,500 8,025 15,975 45,475 9 35 70,128 10,519 61,658 59,608 19 45 137,952 20,693 308,859 117,259 29 55 271,372 40,706 943,477 230,666 39 65 533,829 80,074 2,457,518 453,755 40 Total 7,445,673 1,116,851 Retirement Annuity 192,244 A B C D E Retirement Years Income Growth Savings Rate ROR 2 25 0.07 0.15 0.06 3 Age Income Savings Cumulative Savings Consumption 4 30 50000 =B4*$C$2 =C4 =B4-C4 5 31 =B4*(1+$B$2) =B5*$C$2 =D4*(1+$D$2)+C5 =B5-C5 39 65 =B38*(1+$B$2) =B39*$C$2 =D38*(1+$D$2)+C39 =B39-C39 40 Total =SUM(B4:B39) =SUM(C4:C39) Retirement Annuity =PMT($D$2,$A$2,-$D$39,0,0)Problem 21-6 (Algo) Required: With no taxes or inflation (Spreadsheet 21.1), what would be your retirement annuity if you change the savings rate by -2%? (Do not round intermediate calculations and round your final answer to the nearest whole dollar.) X Answer is complete but not entirely correct. Retirement annuity $ 192,244 X

Step by Step Solution

There are 3 Steps involved in it

1 Expert Approved Answer
Step: 1 Unlock blur-text-image
Question Has Been Solved by an Expert!

Get step-by-step solutions from verified subject matter experts

Step: 2 Unlock
Step: 3 Unlock

Students Have Also Explored These Related Finance Questions!