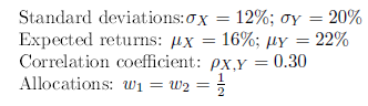
Question: Standard deviations:x = 12%; y = 20% Expected returns: px = 16%; p = 22% Correlation coefficient: px.y = 0.30 Allocations: W = W
Standard deviations:x = 12%; y = 20% Expected returns: px = 16%; p = 22% Correlation coefficient: px.y = 0.30 Allocations: W = W =
Step by Step Solution
There are 3 Steps involved in it
Get step-by-step solutions from verified subject matter experts
