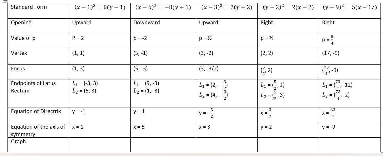
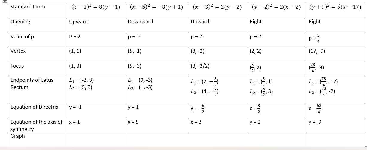
Question: Standard Form (x - 1)2 = 8(y - 1) (x - 5)2 = -8(y + 1) (x - 3)2 = 2(y + 2) (y -


Standard Form (x - 1)2 = 8(y - 1) (x - 5)2 = -8(y + 1) (x - 3)2 = 2(y + 2) (y - 2)2 = 2(x -2) (y + 9)2 = 5(x - 17) Opening Upward Downward Upward Right Right Value of p P = 2 P =-2 P = 12 p = 12 P= Vertex (1, 1) (5, -1) (3, -2) (2, 2) (17, -9) Focus (1, 3) (5, -3) (3, -3/2) (=, 2) (43, -9) Endpoints of Latus L1 = (-3, 3) L1 = (9, -3) L1 = (2, L1= *, 1) L1 = ( 2, -12) Rectum L2 = (5, 3) L2 = (1, -3) NIWNIW VIVINIUT L2 = (4, L2 = -, 3) L2 = ( - , - 2 ) Equation of Directrix y = -1 y =1 63 y =. X = - X = 4 Equation of the axis of X =1 X = 5 X = 3 y = 2 y = -9 symmetry Graph
Step by Step Solution
There are 3 Steps involved in it
Get step-by-step solutions from verified subject matter experts
