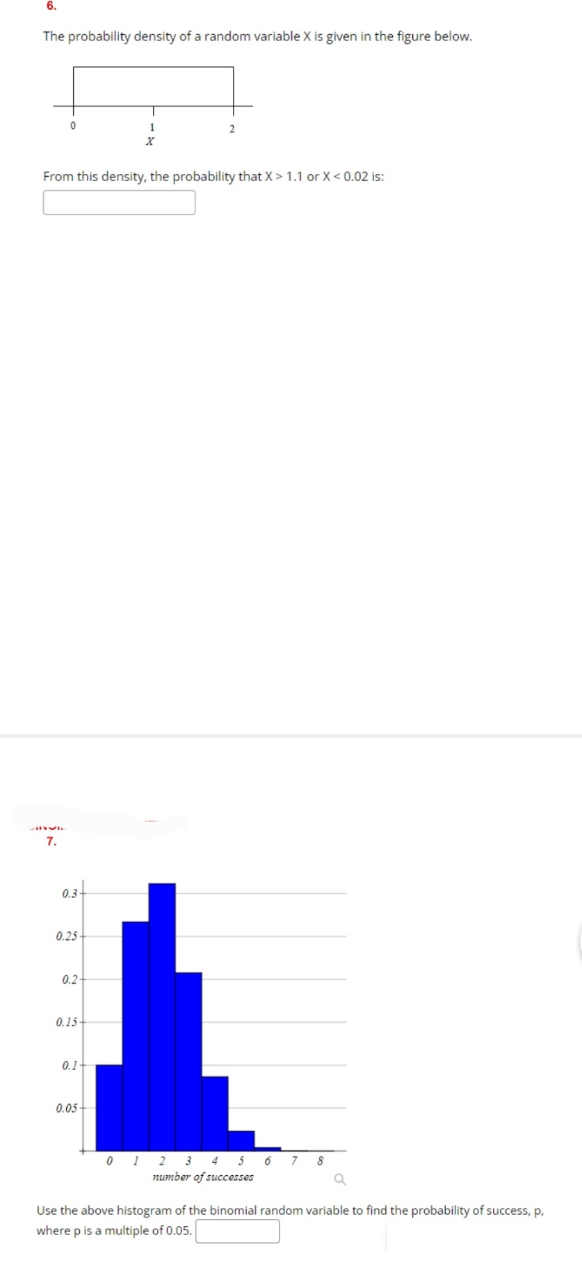
Question: Statistics The probability density of a random variable X is given in the figure below. From this density, the probability that X > 1.1 or
Statistics

The probability density of a random variable X is given in the figure below. From this density, the probability that X > 1.1 or X
Step by Step Solution
There are 3 Steps involved in it
Get step-by-step solutions from verified subject matter experts
