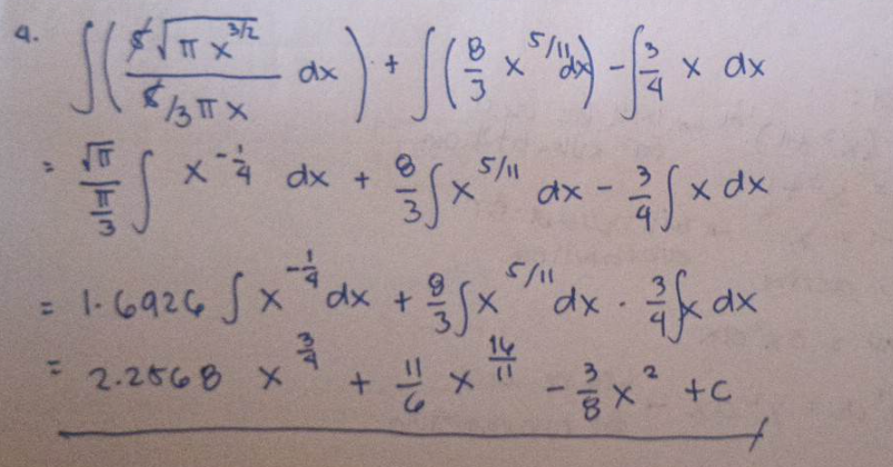
Question: Subject: integral calculus theme: first and second rule example dx



Subject: integral calculus
theme: first and second rule
example



dx
Step by Step Solution
There are 3 Steps involved in it
Get step-by-step solutions from verified subject matter experts
